2019年唑啉草酯专利到期后,在中国制剂市场表现平平,并没有明显的增量上涨。未来的唑啉草酯又会有怎样的发展趋势?面对麦田市场主流产品的竞争,它又将何去何从?
基本介绍
1997年先正达公司发现了唑啉草酯的生物活性,2000年决定商业化,2004年提交申请,2005年获得了首个登记,2006年上市。唑啉草酯从发现活性到首次上市历时10年,市场已遍及欧洲、美洲、亚太和南非等50多个国家和地区,基本覆盖了全球所有主要谷物市场。其中,最重要的市场为欧洲和北美的谷物田除草剂市场,年销售额在1亿美元以上; 在亚太地区,唑啉草酯主要用于中国和澳大利亚的谷物田。
唑啉草酯为选择性、内吸传导型除草剂,高效,广谱,通过茎叶快速吸收,用药后1~3周,杂草出现毒性症状,分生组织很快停止生长,并迅速坏死。主要用于防除小麦和大麦田一年生禾本科杂草,如看麦娘、日本看麦娘、野燕麦、黑麦草、狗尾草、硬草、菵草和棒头草等。有效成分用药量为30~60g/hm2。适用于春季谷物;为了提高产品的安全性,需加入安全剂解草酯。
作用机理为ACCase抑制剂,但由于其特殊的苯基吡唑啉类结构,它的作用位点有别于其他ACCase抑制剂,从而使其成为抗性杂草防除的重要利器。近些年麦田禾本科杂草对精噁唑禾草灵等作用位点单一的芳氧基苯氧基丙酸酯类除草剂的抗耐性增强,而唑啉草酯具有新的作用位点,与这些药不存在交互抗性。
登记情况
截止2022年1月14日,唑啉草酯制剂登记证共65个,原药登记5个。制剂单剂登记37个,制剂复配登记23个。
剂型分为可分散油悬浮剂,乳油,微乳剂。
出镜率最高的剂型有5%乳油,10%乳油,20%可分散油悬浮剂;
唑啉草酯可与大多数防治阔叶杂草的除草剂复配,对当茬小麦、大麦及非靶标生物安全,对后茬作物及环境安全。复配出现最多的是:
1、唑啉草酯·炔草酯
2、唑啉草酯·吡氟酰草胺·异丙隆
3、唑啉草酯·甲基二磺隆(氟唑磺隆)
4、唑啉草酯·双氟磺草胺
5、唑啉草酯·氯氟吡氧乙酸异辛酯
应用情况
小麦:作为新型ACCase抑制剂,其作用位点与其他品种不同,没有交互抗药性。药物在土壤中降解快,很少被根部吸收,土壤活性很低,对后茬作物无影响;耐雨水冲刷,施药后1小时遇雨基本不影响除草效果。唑啉草酯使用量如控制在合理范围基本无药害发生。
大麦:对大麦高度安全,是国内唯二(另一个是精噁唑禾草灵)登记在大麦田苗后防除禾本科杂草的品种,发展前景较好。并且对精噁唑禾草灵产生抗性的杂草有一定防效。
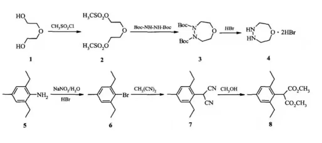
合成工艺
唑啉草酯以2,6-二乙基-4-甲基苯胺 (5) 为原料,经重氮化,得到2,6-二乙基-4-甲基溴苯 (6),中间体(6) 与丙二腈偶联反应,得到取代的苯丙二腈(7),中间体(7) 再在甲醇中醇解,得到关键中间体取代丙二酸酯 (8),中间体(8) 最后与中间体(4)经胺解和酯化2步反应,得到唑啉草酯(10)。

生产厂家及市场份额
根据公开资料整理,目前原药登记企业五家,国内企业涉及到原药生产过程的中间体工艺专利,未有生产。
目前唑啉草酯的国内用量大概在60吨左右,价格从2019年的230万以上,到目前的150-180万之间。
SWOT分析
优势(Strengths)分析:对看麦娘、黑麦草属等恶性部分杂草防效较好,安全性好,恶劣环境下仍能较好发挥效果并且保持安全性,使用亩成本低于甲基二磺隆。唑啉草酯与芳氧苯氧丙酸酯类(Fop)和环己烯酮类(Dim)等除草剂同属于ACCase抑制剂,但由于唑啉草酯具有全新的化学结构,其作用位点有所不同,所以它与前述除草剂无交互抗性。这一特性为唑啉草酯在抗性治理领域增加了发展空间。麦田产品为数不多的利润产品,经销商层面推广销售力度大。
劣势(Weaknesses)分析:杀草谱窄,对部分地区多发的早熟禾、节节麦、雀麦基本无效,亩成本略高;5%乳油单剂容易分解,基本上是订制销售,不能返货到第二年销售;复配剂型不太容易做,需要调试合适助剂。
机会(Opportunities)分析:国家政策上支持唑啉草酯这种活性高、使用量低的农药,并且近年来,麦田杂草优势种群变化较大,尤其是禾本科杂草呈上升趋势,且抗性杂草发展迅速,杂草控制增加了难度,尤其是在河南驻马店地区,安徽北部,江苏北部稻麦轮作区使用量逐年加大,唑啉草酯作为新型防除麦田苗后禾本科的除草剂一定会在市场份额上有所提升。
威胁(Threats)分析:麦田产品数量多竞争压力较大,并且近年新产品也层出不穷,如果唑啉草酯不能降成本大力推广,很难成为大宗用药,这样产品生命力相对脆弱。
未来走势及展望
从登记趋势来看,2021年下半年下证多达30个以上,说明各大制剂企业非常重视唑啉草酯,相信随着原药厂家后续陆续正常生产,其发展前景将是十分广阔的。