1. 一种含苯唑草酮、异噁唑草酮和氨唑草酮的除草剂组合物
本发明涉及农药技术领域,具体涉及一种含苯唑草酮、异噁唑草酮和氨唑草酮的除草剂组合物。
其活性组分由苯唑草酮、异噁唑草酮和氨唑草酮按照质量比为1~8:5~30:10~30组成。三种活性成分复配具有明显的增效作用,能够减少农药的使用量,降低用药成本,还能延缓杂草的抗药性,扩大防除谱,同时提高对作物的使用安全性。
申请号:CN202011241312.3
申请日:2020.11.09
公开(公告)号:CN112514905A
公开(公告)日:2021.03.19
申请(专利权)人:京博农化科技有限公司。本发明公开了一种异丙隆除草剂的合成方法,包括以下步骤:
步骤一:将计量好的甲苯打入脱水釜内,打开蒸汽升温,进行回流分水,当釜内温度达到第一温度区间时,通过观察前后分水视镜注意回流情况,当釜内物料温度达到第二温度区间时,观察前后分水镜,继续升温,直至前分水视镜中馏出液无水珠,后分水视镜流出液澄清透明时继续加热,维持回流脱水两小时后停止分水;对异丙苯基异氰酸酯甲苯液采用滴加的方式,使合成过程温度能有效的控制,减少了过程中脲的生成,提升反应转化率、产品质量和收率,操作过程和温度均较易控制,同时冷合转化率平均提升了8%,使异丙隆产率提高了1%,从原来的97%提高到98%。
申请号:CN202011410422.8
申请日:2020.12.03
公开(公告)号:CN112521312A
公开(公告)日:2021.03.19
申请(专利权)人:安徽广信农化股份有限公司。本发明涉及一种含环苯草酮的除草组合物及用途。除草剂组合物,活性成分A为环苯草酮,活性成分B选自苯噻草胺、嘧啶肟草醚、双草醚任意一种,其中两种活性组分之间的重量份数比为1:50~50:1,用于水稻田除草,特别是用于防除水稻田中禾本科、阔叶科杂草及莎草科,相对于单剂,本发明除草组合物在提高了药效的前提下,延缓杂草抗性,除草谱广,持效期长,而且对水稻以及后茬作物都具有安全性。
申请号:CN201910887351.1
申请日:2019.09.19
公开(公告,号:CN112514899A
公开(公告)日:2021.03.19
申请(专利权)人:海利尔药业集团股份有限公司。本发明涉及农药领域,公开了一种除草组合物及其应用和一种除草剂,该组合物中含有重量比为1:(0.01~100)的组分A和组分B,所述组分A为式(1)所示的化合物168,所述组分B为式(2)所示的二氯喹啉酸:任选地,该组合物中还含有式(3)所示的组分C。本发明提供的前述除草组合物和除草剂能够克服现有技术提供的药剂在防治水稻田中的杂草时安全性不高的缺陷,同时提高除草效果的稳定性和死草速度。

5. 含有2,4-二氯苯氧乙酸的除草剂及其制备方法
本发明提供了含有2,4-二氯苯氧乙酸的除草剂及其制备方法,涉及除草剂技术领域。该除草剂以2,4-二氯苯氧乙酸、二甲四氯钠盐、苯达松为有效成分,该除草剂包括以下重量份的成分:2,4-二氯苯氧乙酸30~45份、二甲四氯钠盐8~15份、苯达松3~6份、二氯丙烯胺2~5份、分散剂12~17份、载体3~8份、湿润剂1~3份、消泡剂0.5~2份、防腐剂0.03~0.08份。本发明协作防除玉米、水稻、小麦田的杂草,扩大2,4一二氯苯氧乙酸的除草谱,同时能够提高作物的生长速度及产量,延缓杂草抗性的产生。制备方法通过粉碎过筛、混合、气流粉碎制得可湿性粉剂,有效成分的分散效果好,防除起效快。
申请号:CN202011576082.6
申请日:2020.12.28
公开(公告)号:CN112544626A
公开(公告)日:2021.03.26
申请(专利权)人:安徽兴隆化工有限公司。6. 喹唑啉二酮类化合物及其制备方法和应用以及一种除草剂
本发明涉及农药除草剂领域,公开了喹唑啉二酮类化合物及其制备方法和应用以及一种除草剂,该化合物具有式(I)所示的结构。本发明提供的上述喹唑啉二酮类化合物能够用作防除禾本科杂草的HPPD除草剂,并且,本发明提供的上述喹唑啉二酮类化合物对多种危害小麦和/或花生生长的禾本科杂草和部分阔叶杂草具有良好防效。
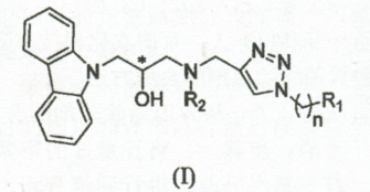
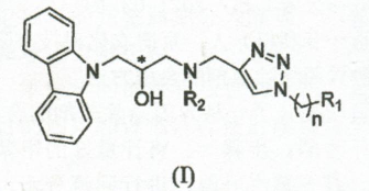
7. 一类含1,2,3-三氮唑的咔唑异丙醇二胺类化合物及其制备方法和应用
本发明涉及一类含1,2,3-三氮唑的咔唑异丙醇二胺类化合物及其制备方法和应用。该化合物具有如通式(I)所示的结构:本发明以咔唑为基础,将含氮片段引入到此体系中,合成一系列含异丙醇胺亚结构以及1,2,3-三氮唑咔唑类化合物,该类化合物对植物病原细菌如水稻白叶枯病菌、柑橘溃疡病菌、猕猴桃溃疡病菌等具有优异的抑制效果。

申请号:CN202110053130.1
申请日:2021.01.15
公开(公告)号:CN112592335A
公开(公告)日:2021.04.02
申请(专利权)人:贵州大学。
本发明属于珠芽蓼种植技术领域,具体公开了一种用于珠芽蓼的除草剂组合物,还公开了一种由所述除草剂组合物制得的除草剂制剂。本发明提供的除草剂组合物的有效成分包括乳氟禾草灵、咪唑乙烟酸和精喹禾灵。
通过将乳氟禾草灵、咪唑乙烟酸和精喹禾灵三种有效成分复配使用,制成的除草剂制剂能安全、高效地防除珠芽蓼种植地中的阔叶杂草以及禾本科杂草。本发明提供的除草剂组合物具有高效、安全、杀草谱广的优点,显著超过了该三种有效成分单独使用的效果。且对生长的珠芽蓼植株安全,而且成本低、防草效果好。
申请号:CN202011435352.1
申请日:2020.12.10
公开(公告)号:CN112602710A
公开(公告)日:2021.04.06
申请(专利权)人:东莞市东阳光冬虫夏草研发有限公司。
本发明提供了一种含有烟嘧磺隆的除草组合物及其制备方法,涉及除草剂技术领域。该除草组合物将烟嘧磺隆、砜嘧磺隆、莠去津、苯嗪草酮四元复配,辅以助剂、溶剂、载体制备得到不同的剂型,四元复配具有显著的协同增效作用,显著提高了玉米等农作物种植时对禾本科及阔叶杂草、一年或多年生杂草的防治效果,扩大了除草谱,缓解了农作物的抗药性,延长了除草组合物的药效,适用范围广。
本发明公开了水悬浮剂、油悬浮剂、水分散剂、可湿性粉剂的多种剂型制备方法,研磨粉碎、搅拌混合、气流粉碎等操作简单可控,得到的剂型质量稳定,适合大规模工业化生产。
申请号:CN202011576345.3
申请日:2020.12.28
公开(公告)号:CN112616849A
公开(公告)日:2021.04.09
申请(专利权)人:安徽兴隆化工有限公司。10. 芳烃基氮(氧)乙酰吡唑类HPPD抑制剂、制备方法及用途
本发明公开了芳烃基氮(氧)乙酰吡唑类HPPD抑制剂、制备方法及用途,该抑制剂的结构通式如下:本发明构建了完全不同于现已市场化HPPD抑制剂的化合物骨架结构,用作除草剂,对杂草生长抑制效果显著。

申请号:CN202011555258.X
申请日:2020.12.24
公开(公告)号:CN112625029A
公开(公告)日:2021.04.09
申请(专利权)人:中国药科大学。
11. 一种含有氨氯吡啶酸、草甘膦和甲咪唑烟酸的除草组合物
本发明提供了一种含氨氯吡啶酸、草甘膦和甲咪唑烟酸的除草剂组合物,包括以下重量份的有效成分:氨氯吡啶酸或其盐10~35、草甘膦或其盐20~45、甲咪唑烟酸1~20。该组合物可以配制成可湿性粉剂、可溶性粉剂、可溶性粒剂、水分散粒剂、水乳剂和水剂。该组合物的优点在于复配后对莎草科和阔叶草类具有特效,提高了除草速度,扩大了杀草谱,使用方便、灵活,省工省钱,经济实惠。适用于防治白茅、铁芒箕、桃金娘、香附子、马唐等一年生杂草。申请日:2021.01.07
公开(公告)号:CN112616841A
公开(公告)日:2021.04.09
申请(专利权)人:广西三晶化工科技有限公司、广西化工研究院有限公司。本发明公开了一种大豆田苗后复方除草剂,所述复方除草剂的有效成分为精噁唑禾草灵、禾草丹,其中精噁唑禾草灵、禾草丹的质量比为1~10:10~50。本发明提供的大豆田苗后复方除草剂,效果显著,与精噁唑禾草灵、禾草丹单剂相比,用量低,成本低,扩大杀草谱,降低残留,对田间单子叶杂草的防效、鲜重防效、综合鲜重防效均有明显提高,对田间作物安全,速效性明显。本发明是能够用于大豆田防除狗尾草、马唐、稗草等抗性杂草的茎叶处理的除草剂,一次施药即能防除作物整个生育期内的杂草,对环境友善,无残留,对下茬作物高度安全。
申请号:CN202110023850.3
申请日:2021.01.08
公开(公告)号:CN112616846A
公开(公告)日:2021.04.09
申请(专利权)人:河南美一稼农业科技有限公司。