氟啶虫酰胺 (flonicamid) 是由日本石原产业株式会社发现的吡啶酰胺 (或烟酰胺)类杀虫剂,它可以有效防治广泛作物上的刺吸式口器害虫,对蚜虫尤其高效。其作用机理新颖,与目前市售其他杀虫剂无交互抗性,对蜜蜂低毒。多家公司参与开发,其中包括美国富美实、韩国东部韩农株式会社、印度联合磷化物等。
氟啶虫酰胺(flonicamid)实验代号为IKI.220、F.1785;商品名为ARIA、BELEAF、CARBINE、MAINMAN、SETIS、TEPPEKI、TURBINE、ULALA;分子式为C9H6F3N3O。

氟啶虫酰胺于1998年开始进行正式药效试验,2003年上市,2009年销售额为3500万美元,2004-2009年销售额年均增长率为28.5%。石原产业已制定了氟啶虫酰胺全球销售目标,年销售额至少达5000万美元。氟啶虫酰胺的市场起程于美国,继而涉足欧洲、亚洲和拉美市场等,目前已在全球30多个国家登记上市。
氟啶虫酰胺在中国的化合物专利申请于1993年7月23日,并已于2013年7月22日专利到期。2017年3月24日,氟啶虫酰胺原药已过正式登记保护期。
氟啶虫酰胺作用机理新颖,对蚜虫等刺吸式口器害虫具有快速拒食活性和很好的神经毒性。氟啶虫酰胺通过抑制蚜虫口针穿透植物组织来抑制取食。刺吸式口器害虫取食带有氟啶虫酰胺的植物汁液后,30min内迅速停止取食,1h内完全没有排泄物出现,且这种拒食作用具有不可恢复性,被阻止吸汁的害虫最终因饥饿而死亡。
似乎氟啶虫酰胺的杀虫作用类似于吡蚜酮,但两者的作用机理还是存在差异。研究人员认为,氟啶虫酰胺具有新颖的作用机理。国际杀虫剂抗性行动委员会 (IRAC) 因此将氟啶虫酰胺划分为:9C类,选择性同翅目拒食剂。目前,氟啶虫酰胺是该组产品中的唯一成员。
氟啶虫酰胺为高效、选择性杀虫剂,具有较好的内吸性,渗透作用强,持效期长,可用于果树、谷物、马铃薯、水稻、棉花、蔬菜、豆类、瓜类、茄子、茶树、核果、向日葵、番茄和温室观赏植物等,防治刺吸式口器害虫,如棉蚜、马铃薯蚜、粉虱、车前圆尾蚜、假眼小绿叶蝉、桃蚜、褐飞虱、小黄蓟马、麦长管蚜、蓟马和温室粉虱等 ,其中对蚜虫防效优异。叶面喷雾的有效成分用量为50~100g/hm2。氟啶虫酰胺对螨、双翅目、鞘翅目和鳞翅目害虫没有活性。
氟啶虫酰胺在推荐剂量下使用,对作物、人畜和环境安全。其对有益节肢动物如家蚕、意大利蜜蜂、异色瓢虫、智利小植绥螨等无不良影响。与有机磷类、氨基甲酸酯类和拟除虫菊酯类杀虫剂无交互抗性,可用于对这些杀虫剂及新烟碱类杀虫剂产生抗性的害虫防治。氟啶虫酰胺杰出的作用机理和对益虫的安全性使其成为抗性治理以及有害生物综合防治体系 (IPM) 的重要产品。
哺乳动物毒性
雄大鼠急性经口LD50为884mg/kg,雌大鼠为1768mg/kg。
大鼠急性经皮LD50>5000mg/kg;对兔皮肤和眼睛无刺激性,对豚鼠皮肤无致敏作用。
雄、雌大鼠吸入LC50(4h)>4.9mg/L。大鼠NOAEL(2a)为每日7.32mg/kg(b.w.)。ADI(FSC)为0.073mg/kg(b.w.)[2006],(EC)为0.025mg/kg(b.w.)。
Ames试验、小鼠骨髓细胞微核试验等4项致突变试验结果均呈阴性,无致突变作用;大鼠2a慢性和致癌试验结果为无致癌性。
生态毒性
雄、雌鹌鹑急性经口LD50>2000mg/kg。
鹌鹑饲喂LC50>5000mg/kg。
虹鳟和鲤鱼LC50(96h)>100mg/L。
水蚤EC50(48h)>100mg/L。
藻类ErC50(96h)>100mg/L。
蜜蜂经口LD50>60.5μg/蜂(噻虫嗪、噻虫胺、呋虫胺分别为0.005, 0.004, 0.023μg/蜂),接触LD50>100μg/蜂(噻虫嗪、噻虫胺、呋虫胺分别为0.024, 0.044, 0.047μg/蜂)。
蚯蚓LC50>1000mg/kg (干土)。对有益节肢动物无毒。
目前我国国内氟啶虫酰胺的原药登记有11个(详情见下表),其中7个登记的含量是与石原产业相同的96%。而山东联合具有最高含量的登记:98.5%,而无锡稼宝和陕西汤普森是2018年拿到的新证,除去石原产业外,其他证均为2017年拿到。

其制剂登记以可湿性粉剂,水分散粒剂,悬浮剂和悬乳剂为主。主要与异丙威,氟啶脲,螺螨酯以及新烟碱类杀虫剂等复配。登记的主要作用对象为水稻飞虱,蔬菜和水果蚜虫。
在授粉作物上推广氟啶虫酰胺产品,通常可以采用与速效性成分,如菊酯或氨基甲酸酯类杀虫剂混配,弥补氟啶虫酰胺在速效性上的不足,更好发挥其持效性上的优势。
单剂

(用药量是根据有效成分用量换算的制剂用量)
复配剂型

(用药量是根据有效成分用量换算的制剂用量)
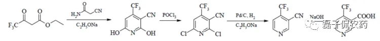
氟啶虫酰胺共有2种合成方法:直接法和间接法。
直接法路线:
以4-三氟甲基烟酸为起始原料,酰氯与胺反应直接制备氟啶虫酰胺。

4-三氟甲基烟酸(1)首先酰氯化,生成的4-三氟甲基烟酰氯(2)与1,3,5-三嗪-1,3,5(2H,4H,6H)-三乙腈(4)(或称“亚甲氨基乙腈”)在甲苯中回流,得到N-氯甲基-N-氰甲基-4-三氟甲基吡啶-3-甲酰胺(5),其在酸性条件下室温水解,生成N-羟甲基-N-氰甲基-4-三氟甲基吡啶-3-甲酰胺(6),再与碳酸钠水溶液室温反应,制得最终产物氟啶虫酰胺。

两条路线的核心均为中间体4-三氟甲基烟酸的合成。
而4-三氟甲基烟酸的合成主要有三条路线:
路线一:

路线二:

路线三:

目前工业化生产,似以路线三的改进方案为主。
氟啶虫酰胺的竞争产品主要来源于两个方面:
一是传统新烟碱类杀虫剂。
在虫害爆发不剧烈的年份,低价格和速效性是市场的主导因素,对于氟啶虫酰胺产生的压力较大;但是随着各国对于新烟碱类杀虫剂对于蜜蜂潜在危害的重视,对蜜蜂相对安全的氟啶虫酰胺将占据较大的市场份额,这一现象在德国、法国的梨果类水果的应用和市场占有率上,已经有所体现(欧盟区域,梨果类水果的种植区域一般毗邻蜂场)。
同时,随着氟啶虫酰胺专利到期,国内仿制企业大批涌现,拉低整体氟啶虫酰胺制剂价格,反而可以利用各国对于新烟碱类产品的禁限用,抢占现有的传统新烟碱类杀虫剂的市场。
二是跨国公司的新产品。
杜邦公司的氯虫苯甲酰胺(Chlorantraniliprole),此类产品内吸活性高,用量少,且作用迅速;在速效性上相对于氟啶虫酰胺有较强的优势;但近年来因为康宽的大量使用,造成了严重的抗药性,故目前在水稻杀虫剂方面,氟啶虫酰胺因为氯虫苯甲酰胺的抗药性而可以占据一席之地。
另外一个经常拿来和氟啶虫酰胺对比的产品是陶氏益农的氟啶虫胺腈,而这个晚于氟啶虫酰胺9年才上市的产品仍然还在专利期内。相对于氟啶虫酰胺,不具有生产和价格优势。
整体而言,氟啶虫酰胺作为作用独特的杀虫剂产品,其作用模式、安全性和残留优于目前的新烟碱类杀虫剂,国内仿制企业在推广过程中如能控制成本,可以在目前各大主要的经济作物区域(水果、蔬菜、园艺等),抢占部分目前由新烟碱类主导的市场,例如拉美、亚太地区等。
由于欧洲对新烟碱类产品的限用,可以预见未来的欧洲高端市场,氟啶虫酰胺具有较大的增长潜力,尤其是授粉作物。
在亚太,东南亚地区的中端市场,随着烟碱类杀虫剂和康宽的抗药性问题愈发严重,而氟啶虫酰胺作为对天敌和蜜蜂安全的取食抑制剂,可以占据一定的水稻杀虫剂市场。
蜂毒问题将新烟碱类杀虫剂推向了争议的风口浪尖,其前途命运虽然还有待充分的研究数据来决定,然而全球已有多个国家和地区禁止或限用新烟碱类杀虫剂;加之市场长期、频繁使用该类杀虫剂,刺吸式口器害虫对其抗性呈上升态势。
而氟啶虫酰胺对蜜蜂低毒,且与新烟碱类杀虫剂不存在交互抗性,因此可以弥补新烟碱类杀虫剂禁、限用留下的市场空缺。
来源:磊子侃农药