2017年,国家知识产权局将培育高价值专利、提升专利质量作为重点工作之一,并在全国部署落实高价值专利培育工作。
时至今日,对于高价值专利的定义,却是仁者见仁,智者见智,尚没有形成统一的概念。不过即使众说纷纭,归纳起来基本上是从专利的技术价值、法律价值、市场价值、战略价值和经济价值等角度,进行综合分析、定性评估的相对标准。
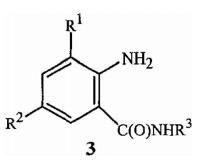
根据国家知识产权局统计,截至2021年底,我国国内(不含港澳台)每万人口高价值发明专利拥有量为7.5件,较2015年末提高5.1件。《中华人民共和国国民经济和社会发展第十四个五年规划和2035年远景目标纲要》提出,更好保护和激励高价值专利,首次将“每万人口高价值发明专利拥有量”纳入经济社会发展主要指标,预期到2025年,我国每万人口高价值发明专利拥有量达到12件。对于高价值专利,国家知识产权局战略规划司司长葛树介绍,我国明确将以下五种情况的有效发明专利纳入高价值发明专利拥有量统计范围:一是战略性新兴产业的发明专利;二是在海外有同族专利权的发明专利;三是维持年限超过10年的发明专利;四是实现较高质押融资金额的发明专利;五是获得国家科学技术奖或中国专利奖的发明专利。战略性新兴产业领域的有效发明专利,是面向国家重大发展需求、推动产业创新发展的重要资源,其他四个方面的有效发明专利,具有专利稳定性强、价值较高的特点。然而,专利服务行业有观点认为,符合上述五种情况仅仅是具备被纳入高价值专利的前提条件,并不是符合上述五种情况的所有专利,都属于高价值专利。由于专利制度的本质是以技术公开换取法律垄断权,所以高价值专利判断的出发点应当是从专利权人利益最大化的角度进行衡量。基于《专利法》的立法宗旨是鼓励发明创造和推动发明创造运用,而高价值专利应当是由市场决定的,通过技术创新获得专利授权,授权保护的技术方案能够与市场应用的产品相对应,从而使产品在市场竞争中具有绝对的利润率。因此,目前国家知识产权局为推动专利在产品端、产业端转化落地见效,正在组织开展专利产品备案工作。我国农药制造属于专利密集型产业,主要依赖技术创新和知识产权参与市场竞争。在我国公布的《战略性新兴产业分类(2018)》(国家统计局令23号)以及《战略性新兴产业分类与国际专利分类参照关系表(2021)(试行)》中,生物产业下的生物医药产业和生物农业及相关产业均包含农药领域的部分技术主题。在先正达集团股份有限公司申请科创板上市的招股说明书中,科创属性评价认为先正达公司属于生物医药行业,所从事的植物保护业务属于生物医药领域中的“高端化学药”范畴,种子业务属于生物医药领域中的“生物制品”范畴,表明农药行业的部分技术主题符合我国战略性新兴产业分类的要求。由于我国农药企业早已参与到全球农药市场的竞争中,已经布局了大量的海外同族专利。同时,根据中国农业科学院农业知识产权研究中心近十年编制的《中国农业知识产权创造指数报告》,对国内农业发明专利维持10年以上的概率和国内授权的农化发明专利平均预期寿命进行了统计,农药领域具有较多维持年限超过10年的发明专利。随着近几年专利质押融资业务的推广,农药领域也有多家企业参与了专利质押融资项目,比较典型的代表是海南正业中农高科股份有限公司将壳寡糖组合物和壳寡糖用途的多件发明专利权进行了质押融资。对于中国专利奖,农药领域既取得过以包含氟吗啉、噻唑锌专利为代表的中国专利金奖,也取得过多项中国专利优秀奖。因此,我国农药领域高价值专利具有长期储备的优势。由于我国专利制度实施仅仅三十余年,仍然存在需要提高专利保护意识、加强专利保护合规管理能力建设的问题,而高价值专利培育与专利价值实现恰恰是解决该问题之关键。根据国内外已有的实践经验,高价值专利既不是专利体系能够解决的,也不是技术研发体系能够解决的,而是需要专利体系和技术研发体系相互配合,高效良性互动共同培育产生的结果。目前,对于农药领域专利体系保护客体已经相对明确,主要包括原药、中间体、制备工艺、复配组合物、新用途、制剂等;对于农药技术研发体系也已经比较清楚,主要包括筛选活性成分、生物活性测定、筛选复配组合、制剂配方开发、应用方法等。利用专利导航分析现有技术状况,指导技术研发的方向,综合分析研发成果与市场化应用,进行专利挖掘和专利布局,使得农药高价值专利培育已是有的放矢。但是,有时也会因为各种各样的原因,即使做了大量的研发投入,但最终却未能形成高价值专利。以下通过列举部分农药专利申请的典型案例进行总结经验,为我国农药领域高价值专利培育提供借鉴。通常认为,高价值专利的产生至少应当包括高质量的研发、高质量的申请、高质量的审查及高质量的授权。所谓高质量是指通过研发获得具有市场开发前景的技术方案,撰写对技术方案作出充分描述的专利申请文件,符合专利申请的程序和条件,经过依法严格审查、授权的权利有较为合理的保护范围和稳定性。如果在某些环节出了问题,导致最终未能获得授权,或者授权范围不当,则相当于将技术无偿贡献给了社会。专利申请号CN201810844887.0,申请人候远威,发明名称一种增效杀虫剂的制备及其应用,申请日2018年7月27日。权利要求请求保护一种增效杀虫剂,其权利特征:主要成分包括杀虫剂和P-糖蛋白抑制剂,质量比为1:1~1∶10。该申请说明书第0006段记载:P-蛋白抑制剂在临床上多用于逆转肿瘤多耐药性。经过多年研究,到目前为止P-糖蛋白抑制剂的开发已历经3代。对P-糖蛋白抑制剂的研发主要是降低对人体的副作用,提高其适应性和特异性,但其成本也相应的昂贵。对于P-糖蛋白抑制剂用作杀虫剂的增效剂来说,由于用量大,在对P-糖蛋白抑制效果差别不大的情况下,我们更多的要考虑到成本的经济性。因此,我们选择成本相对低廉的第1代P-糖蛋白抑制剂的代表药物奎宁和盐酸维拉帕米。该申请说明书表1中记载了奎宁与毒死蜱按2∶1、奎宁与残杀威按1∶1和2∶1、奎宁与溴氰菊酯按1∶1和3∶1的比例混配使用时,盐酸维拉帕米与毒死蜱、残杀威或溴氰菊酯按1∶1的比例混配使用时,增效比SR<1.5(根据本领域的Wadley法,当SR在0.5~1.5之间时为加成作用);奎宁按3∶1、5∶1的比例分别与毒死蜱和残杀威混配使用,按5∶1的比例与溴氰菊酯混配使用才表现出增效作用,盐酸维拉帕米按2∶1、3∶1的比例分别与毒死蜱和残杀威混配使用,按3∶1、5∶1的比例与溴氰菊酯混配使用才表现出增效作用。即表明奎宁/盐酸维拉帕米的用量数倍于杀虫剂才起到增效作用。然而,奎宁和盐酸维拉帕米的批发价远高于杀虫剂(例如,奎宁的批发价约1700元/千克,盐酸维拉帕米的批发价约1000元/千克,毒死蜱原药价格为47元/千克,残杀威原药的价格为145元/千克)。根据该领域联合作用的评价方法中SR值的计算方法,增效比SR=单用杀虫剂时LD50/增效杀虫剂LD50,以含毒死蜱和奎宁的增效杀虫剂为例,奎宁为毒死蜱用量3倍时取得约2.5的增效比值。即该增效杀虫剂的LD50值为单用杀虫剂的约40%,即采用40%杀虫剂药量即可达到与单用杀虫剂时相同的50%致死率。但是,此时增效杀虫剂的成本是单用毒死蜱的约109倍(通过(1700×3+47×0.4)/47得到),而大量文献报道现有技术中有许多与有机磷、氨基甲酸酯类、拟除虫菊酯类杀虫剂混用可起到增效杀虫作用、降低使用成本、延缓害虫产生抗药性的其他农药活性成分。因此该申请采用成本如此高的P-糖蛋白抑制剂奎宁/盐酸维拉帕米作为杀虫增效剂,此方案明显增大用药成本,脱离社会需求、造成资源浪费;且该申请并未验证采用用量数倍于杀虫剂的P-糖蛋白抑制剂奎宁/盐酸维拉帕米来制备增效杀虫剂用于杀虫时,该P-糖蛋白抑制剂对环境和害虫的抗药性不会产生不良影响。该申请最终以不符合专利法第22条第4款关于实用性的规定而被驳回。专利申请号CN201810599376.7,申请人西北农林科技大学,发明名称防治克里角梢小蠹的诱捕剂,申请日2018年6月12日,后申请人变更为华南农业大学。该申请说明书中仅记载了一页半的内容,并未记载该申请的技术方案具有何种试验数据和/或技术效果。经过检索发现,该申请发明人完成的西北农林科技大学博士学位论文《克里角梢小蠹发生规律与寄主选择机制的研究》,公开日2019年2月15日,详细记载了该申请的技术方案及其试验数据和技术效果。该申请以不符合专利法第22条第3款关于创造性的规定而被驳回。专利申请号CN202010702059.0(下称059专利),申请人为中国农业科学院植物保护研究所,发明名称一种草地贪夜蛾的高效引诱剂及其应用,申请日2020年7月21日,请求书中请求早日公布该专利申请,2020年9月8日提交了撤回专利申请声明,但是该专利申请仍于2020年9月29日被公开。根据《专利法实施细则》第36条的规定,撤回专利申请的声明在国务院专利行政部门作好公布专利申请文件的印刷准备工作提出的,申请文件仍予公布,所以该申请文件公开符合法律依据。专利申请号CN202010934664.0(下称664专利),申请人为中国农业科学院植物保护研究所、全国农业技术推广服务中心,发明名称一种草地贪夜蛾的高效引诱剂及其应用,申请日2020年9月8日,与059专利的权利要求书、说明书和说明书摘要内容完全相同,请求书中请求早日公布该专利申请,公开日2020年12月1日,未要求优先权。2021年3月3日,申请人变更为桂林集琦生化有限公司。664专利在实质审查过程中,审查意见为不符合专利法第22条第2款关于新颖性的规定。从上述两件申请的描述可见,059专利撤回,是为了重新申请664专利。如果059专利没有公开,则其不会被作为现有技术。而在664专利申请时,可以要求优先权,也可以不要求优先权,由于没有要求优先权,所以被评述为不具备新颖性。但是,如果申请人要求优先权,应当注意要求优先权的申请人的姓名或者名称与在先申请文件副本中记载的申请人姓名或者名称不一致的,应当提交优先权转让证明材料,未提交该证明材料的,视为未要求优先权。专利申请号CN201711453382.3,申请人为沈阳汇翼宁消毒科技有限公司,发明名称一种消毒液及其制备方法,申请文件提交日为2017年12月28日,但是由于说明书中提及附图图7,而说明书附图缺少该附图,被要求补正,后申请人于2018年3月2日补正了附图7,专利申请日重新确定为2018年3月2日。在实质审查过程中,审查员引用了申请人在先公开的标准(“沈阳汇翼宁消毒科技有限公司企业标准-子和空间、物表、织物、果蔬、汽车空调消毒液”,沈阳汇翼宁消毒科技有限公司,企业标准信息公共服务平台,QHYN5-2016,第1~5页,公开日2016年5月6日,http://www.cpbz.gov.cn/standardProduct/toResult.do)作为对比文件,其公开了该申请权利要求中技术方案主要的技术特征。该申请以不符合专利法第22条第3款关于创造性的规定而被驳回。专利申请号CN200580041973.9(下称973专利),申请人杜邦公司,发明名称制备N-苯基吡唑-1-甲酰胺的方法,申请日2005年12月6日。授权的权利要求12请求保护一种式3的化合物:

限定取代基为其中R1为CH3;R2为Br、Cl、I或CN;且R3为H或C1-C4烷基;条件是(a)当R1为CH3且R2为Cl、Br或CN时,则R3不为CH3或CH(CH3)2且;(b)当R1为CH3且R2为CN时,则R3不为H。
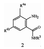
973专利分案申请,专利申请号CN201110166224.6(下称224专利),授权的权利要求1请求保护式2化合物:

限定取代基为其中R3为甲基,R4a为甲基,且R4b为Cl或CN。
一般在通式化合物中排除了具体的化合物,通常认为是该具体的化合物存在偶然公开新颖性的问题。973专利在授权的权利要求中,明确排除了R1为CH3,R2为Cl、CN,R3为CH3的化合物,但是在分案申请224专利中,却又要求保护该被排除的化合物,推测是在973专利化合物排除时出现了误判所致;而且224专利中的化合物,当R1为CH3、R2为Cl、R3为CH3时,刚好与氯虫苯甲酰胺的苯胺结构相同。
虽然973专利和224专利经过实质审查都获得了授权,但是在无效宣告阶段,被以不符合专利法第22条第3款关于创造性的规定,而被宣告专利权全部无效。
专利获得授权,仅仅是拿到成为高价值专利的入场券,而接下来的工作就是要维持专利权有效。专利权人为维持专利权有效,应当按时缴纳专利权维持年费,否则将视为主动放弃专利权。而在专利权维持有效期间,还可能随时被提起无效宣告请求,如果专利权被宣告无效,则专利权视为自始即不存在。申请人西华大学,专利申请号CN201310012560.4,发明名称N-双取代硫代乙酰胺类化合物的合成方法,2014年10月9日授权,2016年9月27日因未按规定缴纳年费专利权终止;专利申请号CN201310020191.3,发明名称硫代乙酰胺类化合物合成方法,2014年7月28日授权,2016年9月27日因未按规定缴纳年费专利权终止;专利申请号CN201310020192.8,发明名称新型硫代乙酰胺类化合物及其作为除草剂的用途,2014年2月7日授权,2016年9月27日因未按规定缴纳年费专利权终止;专利申请号CN201510017922.8,发明名称增效除草组合物,2016年5月5日授权,2017年9月20日因未按规定缴纳年费专利权终止;专利申请号CN201610121711.3,发明名称一种增效除草组合物,2017年8月24日授权,2018年10月15日因未按规定缴纳年费专利权终止;专利申请号CN201610293963.4,发明名称一种除草农药组合物,2017年10月19日授权,2018年12月7日因未按规定缴纳年费专利权终止;专利申请号CN201610613613.1,发明名称一种含烟嘧磺隆的除草农药组合物,2017年9月27日授权,2019年3月7日因未按规定缴纳年费专利权终止。从2013-2016年,专利申请基本覆盖了化合物的发现、化合物的合成工艺、化合物的用途及复配组合物的专利布局,但是非常遗憾的是所有专利在授权一年后,均因未缴纳年费而导致专利权失效。专利申请号CN201410380464.X,申请人安徽美兰农业发展股份有限公司,发明名称氯氟吡氧乙酸异辛酯、2,4-D异辛酯和双氟磺草胺复配悬浮剂,申请日2014年8月4日。经过实质审查,2016年3月2日获得授权;2020年4月8日,无效宣告请求人马强对该专利提出无效宣告请求。复审和无效审理部审查认为,该专利权利要求1保护的三元复配农药组合物,鉴于农药复配产生增效作用的不可预期性,该专利说明书应当记载用于证明该三元复配农药组合物能够产生增效作用的效果试验数据,包括各单剂、二元复配组合物和三元复配组合物的除草活性数据,根据所述数据或通过相关公式来判断该组合物是否产生了增效作用。在缺乏上述试验数据的基础上,“效果领先于其他四种配比均达到10%以上”、“实测防效与理论防效的差值在12.4~15.3之间”、“实测防效与理论防效的差值在10.5~12.5之间”仅属于断言性的结论,无法证明该专利权利要求1的农药组合物产生了增效作用。另外,在请求人对该专利相关数据的真实性提出质疑的情况下,专利权人没有提供证据予以证明,也未通过充分的说理予以阐明;况且,该专利实施例1~5的配比中除草活性成分的总量基本相同,只是部分活性成分的用量作了微调,其效果存在差异是可以预期的,但说明书中记载的上述效果差别确实超过了本领域技术人员的基本认知。因此,该专利的说明书公开不充分,未达到该领域技术人员能够实现所保护的技术方案的程度,不符合专利法第26条第3款的规定,被宣告专利权全部无效。市场应用一方面体现在专利权人为生产经营目的制造、使用、许诺销售、销售、进口其专利产品,一方面也体现在其他人实施上述行为。如果专利权人自己实施上述行为,专利权可以保证产品实现市场垄断的优势;如果其他人实施上述行为,专利权人可以发起专利行政裁决或专利侵权诉讼,遏制其他人的上述行为,并要求赔偿。当然,专利权人也可以通过专利权的许可、转让、质押、作价入股等方式,扩展专利权市场应用的范围,将专利权的利益最大化。专利申请号CN201310043903.3(下称903专利),申请人青岛科技大学,发明名称3,5-二卤代硫代苯甲酰胺类杀虫剂,申请日2013年1月25日,先后经过了四次审查意见通知书,2015年9月9日获得授权,授权的权利要求1.一种3,5-二卤代硫代苯甲酰胺类杀虫剂,结构式如下所示:2020年8月31日因未缴纳专利维持费而终止;2020年10月12日,提出恢复权利请求,并补缴年费和滞纳金;2022年8月31日因未缴纳专利维持费而终止。
903专利分案申请,专利申请号CN201510541390.8(下称390案件),申请人青岛科技大学,发明名称3,5-二卤代硫代苯甲酰胺类杀虫剂,经过一次审查意见通知书,2016年7月6日获得授权,授权的权利要求1.一种3,5-二卤代硫代苯甲酰胺类杀虫剂,结构式如通式I所示:式Ⅰ中:R1 选自Cl或Br,R2选自异丙基,R3选自H。2016年12月29日,青岛科技大学将专利权转让给浙江博仕达作物科技有限公司;2019年8月22日,浙江博仕达作物科技有限公司将专利权转让给浙江宇龙生物科技有限公司;后浙江宇龙生物科技有限公司根据该专利,成功开发出商品化产品硫虫酰胺。
此外,青岛科技大学还申请了几件具有相似母体结构的通式化合物专利,例如,申请号CN201310043902.9,发明名称硫代苯甲酰胺类化合物及其应用,2014年7月25日授权,2015年10月9日未缴纳年费失效。申请号CN201310043843.5,一种含氟邻氨基硫代苯甲酰胺类化合物及其应用,2015年4月15日授权,2021年1月28日转让给河南豫珠恒力生物科技有限责任公司。申请号CN201510752803.7,发明名称一种含氯代噻唑基苯甲酰胺类化合物及其应用,2018年5月23日授权,目前仍维持有效。我国高等院校具有较好的科研资源,但是产业化的路径稍显不足,将科研成果通过专利权转让的方式,通过企业进行产业化开发,不仅能够实现产学研的结合,也能够实现专利技术的产业化应用。专利申请号CN01807024.8(以下简称024专利),申请人杜邦公司,发明名称杀虫的邻氨基苯甲酰胺,申请日2001年3月20日,获得授权的权利要求1,式1的化合物,或它们农业上适用的盐:其中A和B各自为O或S;每个J各自为5或6元含氮、硫和/或氧的杂芳环或芳族8,9或10元稠合的杂双环系,其中每个环或环系用1~4个R7任选取代;n为1~4;R1为H;R2为H,或C1-C6烷基;R3为H,或C1-C6烷基;每个R4各自为H,C1-C6烷基,C2-C6炔基,C1-C6卤烷基,卤素,CN,C1-C4烷氧基或C1-C4卤烷氧基;或每个R4各自为苯基;每个R7各自为H,C1-C6烷基,C2-C6烯基,C2-C6炔基,C3-C6环烷基,C1-C6卤烷基,卤素,C1-C4烷氧基,C1-C4卤烷氧基或C1-C4烷硫基;或每个R7各自为苯基,或5或6元杂芳环。每个环用1~3个各选自以下的基团任选取代:C1-C4烷基,C2-C4炔基,C1-C4卤烷基,卤素或CN;条件是(i)至少1个R4和至少1个R7不是H;(ii)J不是任选取代的1,2,3-噻二唑;(iii)当J为任选取代的吡啶和R2为H时,R3不是H或CH3;(iv)当J为任选取代的吡唑,四唑或嘧啶时,R2和R3不能都是氢。专利申请号CN02815924.1(以下简称924专利),申请人杜邦公司,发明名称杀节肢动物的邻氨基苯甲酰胺,申请日2002年8月13日,获得授权的权利要求1.选自式1的化合物或其N-氧化物:
其中R1是CH3、F、Cl或Br,R2是F、Cl、Br、I或CF3,R3是CF3、Cl、Br或OCH2CF3,R4a是C1-C4烷基,R4b是H或CH3,和R5是Cl或Br;或其农业上适用的盐。授权的权利要求19.式4的化合物:

其中R3是CF3、Cl、Br或OCH2CF3;和R5是Cl或Br。
024专利和924专利由于权利要求的保护范围不同,均获得了授权,授权的马库什通式化合物中均包含了氯虫苯甲酰胺的化学结构,达到了延长氯虫苯甲酰胺专利保护期限约17个月的效果,为氯虫苯甲酰胺原药的市场垄断起到了非常重要的作用。2020年8月,富美实公司利用924专利起诉山东潍坊润丰化工股份有限公司侵害发明专利权,青岛市中级人民法院一审判决,停止侵权行为,赔偿FMC公司100万元。 2021年4月,富美实公司对浙江宇龙生物科技有限公司发起民事诉讼,起诉浙江宇龙生物科技有限公司制造硫虫酰胺原药的关键中间物,侵犯了924专利权利要求19的专利权,要求停止制造侵害涉案专利的被诉侵权产品,停止使用被诉侵权产品生产硫虫酰胺农药产品,赔偿经济损失及为制止被控侵权行为所支付的合理开支共计人民币一百万元。杭州市中级人民法院在判决中认定,浙江宇龙生物科技有限公司生产涉案中间体化合物,宇龙公司使用该中间体生产宇龙公司的产品,使用该产品进行试验、参加展会、向第三方提供样品的行为侵犯了FMC公司的专利,赔偿侵权损失。如果将高价值专利评选比喻成竞技比赛,专利授权仅仅是拿到了参加比赛的入场券,而维持有效是能够进行比赛的号码簿,最终能否显露真相站在领奖台上,取决于专利技术市场应用的情况,高价值专利培育的目标以及评选的标准应当是在专利价值实现上。因此,我国农药行业创新主体在申请专利时,切莫以为了完成专利申请数量目标而申请,而是应当以为了获得技术市场化垄断应用而申请。