提示
×
取消
确定
当前位置:首页 > 新闻资讯
新型除草剂丙酯草醚潜力无限,却无混剂登记
来源:农化专利网   发布时间:2022-03-17 08:06
简述
丙酯草醚(pyribambenz-propyl)是我国自主知识产权的油菜田新型除草剂,由上海有机化学研究所和浙江化工研究院共同创制的嘧啶苄胺类除草剂,开发代号为ZJ0273。

丙酯草醚(pyribambenz-propyl)是我国自主知识产权的油菜田新型除草剂,由上海有机化学研究所和浙江化工研究院共同创制的嘧啶苄胺类除草剂,开发代号为ZJ0273。


一、产品特性

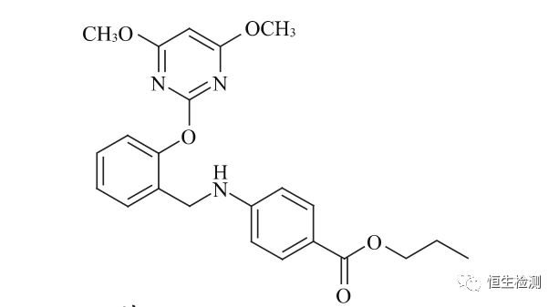
丙酯草醚的CAS登录号420138-40-5,结构式见图1,原药外观为白色固体,熔点96℃~97℃,不溶于水,易溶于二氯甲烷、丙酮,部分溶于乙醇。低毒,大鼠急性经口LD50>5000mg/kg,大鼠急性经皮LD50>2000mg/kg。

图片

图 1  丙酯草醚结构式

图片

二、登记情况

经中国农药信息网查询,截至日前,我国共登记3个丙酯草醚产品,1个原药和2个制剂,分别由首建科技有限公司和侨昌现代农业有限公司获登登记。主要登记用于防治油菜田一年生禾本科杂草及部分阔叶杂草或一年生杂草。详情如表1。

表 1  丙酯草醚登记情况

图片

图片

三、市场情况

该产品技术转让给山东侨昌化学有限公司,2003年,山东侨昌化学有限公司最早获得95%丙酯草醚原药的临时登记LS20031544,2010年推广面积达到万亩。


2014年获得98%丙酯草醚原药的正式登记PD20141891。其化合物获得中国发明专利:专利号ZL00130735.5,专利名称2-嘧啶氧基苄基取代苯基胺类衍生物。但国内专利保护期已于2020年10月届满。同时,已经申请并获得了美国、欧盟、日本、韩国、墨西哥等国的专利授权。


与油菜田现有的除草剂品种相比,它具有高效、低毒、对后茬作物安全、环境相容性好、杀草谱较广和成本较低等特点。另外其专利保护期已经届满,未来国内该产品市场潜力无限,感兴趣的企业可以从混剂入手,抢占一席之地!


来源:恒生检测