据联合国2020年世界粮食安全和营养状况报告称,当今世界上仍有近6.9亿人处于饥饿状态,世界粮食产量仍不能满足人类的需求。有预测显示,到2050年全球粮食产量需提高60%才能够养活不断增长的世界人口,如何提升粮食的产量与质量成为日益突显的关键问题。众所周知,在粮食生产中合理使用农药,可以有效地防治病虫草害,从而大幅减少粮食的损失。
目前世界常用农药有600多种,然而,这些已有的品种并不代表可以一直使用下去。随着对食品安全和环境安全的要求不断提高,农药研发也始终在向着高效、绿色、环保的方向不断提升。同时,病虫草害对农药所产生的抗药性也呈现出逐年递增的趋势,因此不断研发具有新颖结构以及全新作用机理的绿色农药品种成为目前的迫切需求。
杀虫剂从诞生就始终伴随着毒性问题,新烟碱类等老牌杀虫剂的长期、大量使用,导致其对非靶标生物的毒性蓄积和生态环境问题越来越突出,尤其是部分重要害虫对常用杀虫剂的抗性明显增强。
如对噻虫嗪(thiamethoxam)和烯啶虫胺(nitenpyram)敏感的褐飞虱,田间种群在经过连续30代室内抗性筛选后,抗性上升几十倍(烯啶虫胺)甚至数百倍(噻虫嗪)。
据报道,2019年全球杀虫剂市场规模约为151.46亿美元,因新品种销售市场增长乏力,导致规模和增速均不及除草剂和杀菌剂,增长动力明显不足,市场规模已被杀菌剂超越。市场亟需要补充全新结构、全新机理的绿色安全杀虫剂,以满足不断增长的实际需求和应对越发严峻的抗性挑战。
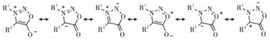
介离子类化合物是一类特殊又重要的分子,Mackney和Earl于1935年合成了第一个介离子化合物悉尼酮(sydnone)(见图1)。1949年,Baker和Ollis首次提出了介离子化合物的概念,即一类五元或六元偶极杂环化合物,其环内π电子处于离域状态,环上带有部分正电荷,与环共价连接的原子或取代基团带有与其相平衡的负电荷,这类化合物不能用任何一种共价结构或极性结构准确地表示,故将其称为介离子化合物。
该类化合物在抗炎、抗抑郁、抗肿瘤等领域有着非常广泛的应用。同时,介离子类化合物近十几年来在杀虫剂领域也成为了新的研究热点,杜邦公司在2008年首次披露了具有杀虫活性的介离子化合物,此后国内外植保公司纷纷开始加入到了介离子杀虫剂的研发行列。

图1 Sydnone的6种共振结构杂化体
1.1 三氟苯嘧啶(triflumezopyrim)和二氯噻吡嘧啶(dicloromezotiaz)
三氟苯嘧啶是杜邦公司(现科迪华)专为亚太地区开发的具有全新化学结构和作用机理的介离子类杀虫剂,可用于水稻、棉花、玉米和大豆等作物,对鳞翅目、同翅目等多种害虫均具有很好的防效。科迪华首先将该产品开发用于水稻,防治水稻飞虱、叶蝉等,特别是防治褐飞虱。
国际杀虫剂抗性行动委员会(IRAC)将三氟苯嘧啶归为烟碱乙酰胆碱受体(nAChR)竞争性调节剂类,目前是唯一一个乙酰胆碱受体抑制剂,与新烟碱类乙酰胆碱受体激活剂靶点相同,但作用相反。2017年,三氟苯嘧啶相关产品在我国获准正式登记,主要用于防治稻飞虱和叶蝉,且在韩国、菲律宾、马来西亚、印度尼西亚、印度、日本、越南、泰国等国也获得登记许可。但三氟苯嘧啶尚未获得美国、欧盟、澳大利亚、新西兰等国登记,在这些国家或地区仍处于商业化开发阶段。
该杀虫剂的发现起源于杀菌化合物合成过程中的一个副产,20世纪90年代,杜邦公司在研发防治白粉病杀菌剂时,使用原料1合成了其较为感兴趣的化合物2,并分离出了N-烷基化副产物3。
在随后的温室生物活性测试过程中发现,1和2均未表现出预期的杀菌杀虫活性。
然而,2005年,杜邦公司在增加了新的杀虫靶标后,对其原有化合物进行新一轮的筛选中发现,化合物3对玉米花翅飞虱(Peregrinus maidis)和小菜蛾(Pluella xylostella)表现出一定的杀虫活性。这引起了杜邦对这类结构新颖的化合物的关注,接下来的几年对3的A、B、C三部分展开优化,首先替换A部分的不同烷基取代,发现正丙基取代具有最优的活性,大于(如正丁基)或小于(如甲基)正丙基的烷基链都会导致活性下降。
除此之外,当A部分为正丙基时,介离子稠环的C部分进行优化时未表现出更好的杀虫活性。在此基础上进一步研究了非烷基的脂肪链,包括酯、酰胺、醚等结构,发现了2,2,2-三氟乙基取代的类似物4,其对玉米花翅飞虱、马铃薯小绿叶蝉(Empoasca fabae)、褐飞虱(Nilaparvata lugens)、水稻绿叶蝉(Empoasca flaoescens)具有良好的活性,对玉米花翅飞虱的活性提高了120倍以上。
进一步对2,2,2-三氟乙基类介离子进行了拓展研究,合成并评价了A部分六元杂环亚甲基取代的类似物,其中3-吡啶亚甲基取代的化合物没有杀虫活性,而6-氯-3-吡啶亚甲基取代的化合物5表现出了与4相当水平的活性,并且对小菜蛾和黏虫(Spodoptera eridania)也具有优秀的杀虫活性,扩大了杀虫谱。
在随后的作用机理研究中发现,此类介离杀虫剂的作用靶标为烟碱型乙酰胆碱受体(nAChRs)。因此,杜邦公司参考了新烟碱类杀虫剂的创制思路,用4-氯苄基、6-三氟甲基-3-吡啶亚甲基、5-卤代-3-吡啶亚甲基等进行替换,这些基团在新烟碱类杀虫剂构效关系中都是6-氯-3-吡啶亚甲基的优秀替代结构。然而,生测结果却显示出很差的杀虫活性,这表明介离子杀虫剂和传统新烟碱类杀虫剂具有不完全相同的构效关系规则。
接下来杜邦公司参考噻虫嗪和噻虫胺(clothianidin)的结构,选用2-氯噻唑-5-亚甲基替换6-氯吡啶-3-亚甲基合成了化合物6,生测显示其对玉米灰飞虱、马铃薯绿叶蝉、褐飞虱、水稻绿叶蝉、小菜蛾、草地贪夜蛾(Spodoptera frugiperda)均具有良好的活性,其中对玉米灰飞虱、马铃薯绿叶蝉、小菜蛾的LC50值低于2mg/L。
在化合物6成功的田间试验数据支持下,对A、B部分的结构和取代基团进行了广泛的研究,最终选取了7和8作为商品化候选结构。其中8在毒理学实验中在500、2,000mg/kg的剂量下分别对雌性和雄性大鼠有眼刺激性,因此停止了其进一步开发,最终确定了商品化品种三氟苯嘧啶,见图2。另一方面,由于化合物6和8对小菜蛾、黏虫这2类有代表性的鳞翅目害虫表现出优异的活性,因此杜邦公司希望以此为基础开发出针对鳞翅目昆虫的具有商业价值的杀虫剂。
根据之前的研究,确定A部分为2-氯-5-噻唑亚甲基时对鳞翅目昆虫活性最优,进而合成并评价了B、C部分为不同取代基的类似物。其构效关系表明:C部分的6、7、8位存在取代基时会降低活性,而在9位取代基仅为甲基时能很好的提高生物活性,当9位取代基为甲基以外的其他基团时均会降低生物活性。进一步的优化表明,这种“魔力甲基效应”仅对2-氯-5-噻唑甲基类介离子化合物适用。最后,在A、C部分结构确定的基础上优选出B部分为3,5-二氯取代的结构9作为商品化候选品种,即二氯噻吡嘧啶,见图2。

图2 三氟苯嘧啶和二氯噻吡嘧啶的创制经纬
三氟苯嘧啶是以丙二酸二乙酯和间碘三氟甲苯为起始原料,合成2-[3-(三氟甲基)苯基]丙二酸及其酰氯,与中间体N-2-吡啶-5-嘧啶甲胺反应合成,具体合成路线见图3。

图3 三氟苯嘧啶的合成路线
二氯噻吡嘧啶的合成与三氟苯嘧啶类似,具体合成路线见图4。

图4 二氯噻吡嘧啶的合成路线
1.2 Fenmezoditiaz
Fenmezoditiaz是由巴斯夫研发的介离子类杀虫剂,是继杜邦(现科迪华)三氟苯嘧啶和二氯噻吡嘧啶之后成功研发的第3个介离子类杀虫剂,创制经纬见图5。

图5 Fenmezoditiaz的创制经纬
杜邦公司2011年公开了具有嘧啶并噻唑烷的化合物10,巴斯夫公司可能是在该化合物专利上进行了研究优化,合成了一系列嘧啶并杂环烷的化合物,并且将烟碱中间体从嘧啶环上转移到杂环烷上,得到了全新的结构,该专利列表化合物中虽有fenmezoditiaz外消旋混合物,但没有结构和生物活性数据支持。
巴斯夫进一步研究,2016年公开了化合物11,在噻唑烷的5位引入了噻唑基团,其对绿桃蚜(Myzus persicae)、兰花蓟马(Dichromothrips corbetti)、二点黑尾叶蝉(Nephotettix virescens)和棉蚜(Aphis gossypii)具有一定的活性。
2018年巴斯夫公开了噻唑基团取代的4位噻唑烷结构的用途和合成方法,其中公布了fenmezoditiaz的杀虫活性数据,R型对映体在1mg/L的质量浓度下对豇豆蚜、黑尾叶蝉、稻褐飞虱的致死率分别为90%、100%、90%,10mg/L对蓟马的致死率为100%;其外消旋混合物在相同的质量浓度下对豇豆蚜、黑尾叶蝉、稻褐飞虱、蓟马的致死率也分别有80%、50%、54%、73%,而其S型对映体则无杀虫活性。据报道,fenmezoditiaz能有效防治刺吸式口器害虫,如缨翅目、双翅目和半翅目,特别适用于防治缨翅目和半翅目害虫。
而且,该类化合物可以防治动物体内和体外寄生虫,用量低,持效期长,对动物安全,化合物及其组合物适用于禾谷类、根系作物、油料作物、蔬菜、香料、观赏植物等。
Fenmezoditiaz主要有以下2种合成方法,2种方法部分合成步骤是相同的,主要的不同是在R型异构体合成前的中间体,2种方法分别以氯代磺酰胺和2-甲基丙烷-2-亚磺酰胺分别进行保护,而R型异构体的合成都是采用特制的铑催化剂和甲酸三乙胺在氮气保护条件下反应而得。具体合成路线见图6。

图6 Fenmezoditiaz的合成路线
2.1 吡啶并嘧啶酮类介离子
在2008年杜邦公司首次公开了介离子杀虫剂的专利之后,各大植保公司纷纷投入到了介离子杀虫剂的探索开发中。其中报道最多的就是嘧啶酮类介离子化合物。
巴斯夫公司在2012年报道了2类化合物Ⅰ和Ⅱ,在300mg/L质量浓度下,化合物Ⅰ-1、Ⅰ-2、Ⅱ-1、Ⅱ-2、Ⅱ-3对豇豆蚜虫的致死率在75%以上,Ⅰ-1对兰花蓟马的致死率在75%以上;在500mg/L下,Ⅰ-1、Ⅱ-1、Ⅱ-2、Ⅱ-3对桃蚜的致死率在75%以上,Ⅰ-1、Ⅱ-1、Ⅱ-2对水稻绿叶蝉的致死率在75%以上。
相同质量浓度下,Ⅰ-1、Ⅰ-3、Ⅱ-1、Ⅱ-2对水稻褐飞虱的致死率均在75%以上。随后在2014年,进一步公开了一类衍生化合物Ⅲ,在300mg/L下化合物Ⅲ-1、Ⅲ-2、Ⅲ-3、Ⅲ-4对桃蚜混合种群的致死率在75%以上;Ⅲ-3、Ⅲ-4在300mg/L下对黏虫的致死率也在75%以上;Ⅲ-2在500mg/L下对褐飞虱、小菜蛾、水稻绿叶蝉的致死率均在75%以上。从结构活性中可以看出:在嘧啶酮-3位所接的苯环上引入肟、肟醚、脒结构可以显著提升对蚜虫的活性,Ⅰ~Ⅲ结构通式见图7。

图7 结构通式Ⅰ~Ⅲ
2016年,日本化药株式会社(Nippon Kayaku Co., Ltd.)报道了同类介离子化合物Ⅳ的杀虫活性(结构通式见图8),用氰基乙基替代三氟苯嘧啶中的嘧啶亚甲基,获得了活性更优的杀虫化合物。在棉蚜的防除试验中,化合物Ⅳ-1在0.1mg/L的质量浓度下对棉蚜的致死率能达到100%,而三氟苯嘧啶在0.2mg/L下致死率为0;在褐飞虱的防除试验中,化合物Ⅳ-1、Ⅳ-2、Ⅳ-3、Ⅳ-4在0.05mg/L下对褐飞虱的致死率均在70%以上,而三氟苯嘧啶在0.1mg/L的质量浓度下致死率仅为10%。由此表明:氰基乙基可以作为一个优秀活性基团来替代嘧啶酮-1位的嘧啶-5-亚甲基、2-氯-噻唑-5-亚甲基、6-氯-吡啶-3-亚甲基等结构。

图8 结构通式Ⅳ
沈阳中化农药化工研发有限公司在三氟苯嘧啶结构基础上对嘧啶酮的1-位取代五元杂环进行了优化研究。2019年报道了一类化合物Ⅴ(结构通式见图9),用卤代噻吩甲基替代卤代噻唑甲基,其中Ⅴ-1、Ⅴ-2在10 mg/L的质量浓度下对小菜蛾的致死率可达到100%;在100mg/L的质量浓度下化合物Ⅴ-3、Ⅴ-4对黏虫的致死率均在90%以上。

图9 结构通式Ⅴ
东莞市东阳光农药研发有限公司也对嘧啶酮1-位取代部分做了优化研究,2019—2020年相继报道了Ⅵ~Ⅷ三类化合物(结构通式见图10),其中通式Ⅵ类化合物在500mg/L的质量浓度下对烟粉虱和褐飞虱的致死率在80%以上。Ⅶ-1、Ⅶ-2在200mg/L的质量浓度下对小菜蛾与黏虫的致死分别为80%;相同质量浓度下Ⅶ-3对小菜蛾与黏虫的致死率均为100%。
化合物Ⅷ-1在50mg/L的质量浓度下对褐飞虱的致死率为100%;Ⅷ-1在相同质量浓度下对褐飞虱的致死率为90%。这些研究大大丰富了嘧啶酮1-位取代结构的多样性,同时又具有一定的杀虫活性。

图10 结构通式Ⅵ~Ⅷ
除此之外,东阳光公司还对吡啶部分进行了衍生优化研究,2020年报道了一类化合物Ⅸ(见图11),在200mg/L质量浓度下,Ⅸ-1对小菜蛾的致死率为80%,Ⅸ-2、Ⅸ-3对小菜蛾的致死率为100%;而三氟苯嘧啶对小菜蛾的致死率仅为51%。在吡啶环上引入1,3-二甲基吡唑取得了不错的杀虫活性,这在之前的报道中没有相似的案例,为吡啶并嘧啶酮类介离子化合物以后的研究提供了新的方向。

图11 结构通式Ⅸ
2.2 五元杂环并嘧啶酮类介离子
杜邦公司在发现吡啶并嘧啶酮类介离子化合物的杀虫活性之后,报道了很多杂环并嘧啶酮类化合物。其中五元杂环(呋喃、噻唑、吡唑等)并嘧啶酮类介离子化合物也具有很好的杀虫活性,如通式化合物Ⅹ(见图12)中的Ⅹ-1、Ⅹ-2、Ⅹ-3在50mg/L的质量浓度下,对玉米蜡蝉(Peregrinus maidis)的致死率在80%以上,Ⅹ-2、Ⅹ-3在相同质量浓度下对马铃薯叶蝉的致死率在80%以上。
2019年,先正达公司报道了一类吡唑并嘧啶酮介离子化合物Ⅺ(见图12),Ⅺ-1、Ⅺ-2在200mg/L的质量浓度下对黄瓜条叶甲(Diabrotica balteata)、小菜蛾、海灰翅夜蛾(Spodoptera littoralis)的致死率均在80%以上,其中Ⅺ-2在12.5mg/L的质量浓度下对海灰翅夜蛾的致死率可达到80%以上。

图12 结构通式Ⅹ~Ⅺ
2.3 其他类型的嘧啶酮类介离子化合物
2014年巴斯夫公司报道了一类脂肪环并嘧啶酮类介离子化合物Ⅻ(见图13),化合物Ⅻ-1、Ⅻ-2在500mg/L的质量浓度下,对桃蚜、兰花蓟马、二点黑叶尾蝉的致死率在75%以上;Ⅻ-3在500mg/L的质量浓度下对稻飞虱和叶螨的致死率在75%以上。
此外,巴斯夫公司还发现了一类由2个脂肪环和嘧啶酮组成的三环结构的介离子化合物XⅢ(见图13),生测结果显示,在500mg/L的质量浓度下该类化合物对褐飞虱、兰蓟马和水稻绿叶蝉的致死率在75%以上。整体上看,Ⅻ和XⅢ这2类化合物都增加了饱和杂环,以期提高其生物活性。

图13 结构通式Ⅻ~XⅢ
2013年,巴斯夫公司报道了一类具有杀虫活性的新颖噻(噁)二唑类介离子化合物ⅪⅤ(见图14)。其中化合物ⅪⅤ-1、ⅪⅤ-2在300mg/L的质量浓度下对银叶粉虱的致死率在75%以上;ⅪⅤ-3在500mg/L的质量浓度下对豇豆蚜的致死率在75%以上;ⅪⅤ-1~ⅪⅤ-4在500mg/L的质量浓度下对兰花蓟马的致死率在75%以上,而这类化合物对桃蚜、棉铃象、地中海实蝇、烟草芽孢子虫的活性一般。
图14 结构通式ⅪⅤ
先正达公司2015年报道了一类吡啶并噁二唑类介离子化合物ⅩⅤ(见图15),这类化合物专利报道的通式结构中正负电荷分别表示在二唑环的2个N原子上,对桃蚜和褐飞虱表现出了很好的活性,该类化合物在200mg/L的质量浓度下对桃蚜的致死率在80%以上。
另外此类化合物还表现出优秀的内吸活性,在浸根试验中,ⅩⅤ-1~ⅩⅤ-4在24mg/L的质量浓度下对桃蚜的致死率在80%以上,ⅩⅤ-1、ⅩⅤ-4在12.5mg/L的质量浓度下对褐飞虱的致死率在75%以上。

图15 结构通式ⅩⅤ
2020年,华东理工大学钱旭红等公开了一类噁二唑类介离子化合物ⅩⅥ(见图16),这类化合物从结构上看,属于双酰胺类杀虫剂与介离子类的拼接,其对黏虫、小菜蛾、棉铃虫、亚洲玉米螟、稻纵卷叶螟等具有较好的防效。在100mg/L的质量浓度下ⅩⅥ-1~ⅩⅥ-3等多个化合物对上述害虫致死率均达到100%。

图16 结构通式ⅩⅥ
2018年拜耳公司报道了吡啶并咪唑类介离子化合物ⅩⅦ(见图17),它的3-位引入了羰基结构,化合物ⅩⅦ-1~ⅩⅦ-4在4mg/L的质量浓度下对桃蚜的致死率可达到100%;其中化合物ⅩⅦ-3在100mg/L的质量浓度下,对猫栉头蚤(Ctenocephalides felis)和家蝇对致死率均能达到100%。除此之外,拜耳公司还报道了类似的一类化合物ⅩⅧ(见图17),这类化合物对桃蚜也具有不错的杀虫活性。生测数据显示,该类化合物在20mg/L的质量浓度下对桃蚜具有很好的防效,其中ⅩⅧ-1~ⅩⅧ-4在4mg/L的质量浓度下对桃蚜的致死率仍为100%。此外这类化合物对褐飞虱、稻绿蝽、草地贪夜蛾等也有一定的活性。

图17 结构通式ⅩⅦ~ⅩⅧ
2016年,杜邦公司的Daniel等对三氟苯嘧啶的作用机理进行了研究。放射性配体试验和竞争性饱和结合研究表明,三氟苯嘧啶能与吡虫啉(imidacloprid)竞争性的结合烟碱型乙酰胆碱受体(nAChR)的正构体结合位点,而带有标记的3H-吡虫啉的取代量和烟粉虱生物活性的线性关系也证实了该受体是三氟苯嘧啶的作用靶点。
此外,在2017年Andrew等研究中发现,具有β1nAChR亚基R81T靶点突变的烟粉虱对三氟苯嘧啶、传统的新烟碱类杀虫剂(吡虫啉和烯啶虫胺)以及一些新的nAChR杀虫剂(氟啶虫胺腈sulfoxaflor和氟吡呋喃酮flupyradifurone)都表现出显著的抗药性,表明三氟苯嘧啶与这些传统的新烟碱类杀虫剂和新的nAChR杀虫剂的结合位点是相同的。然而令人意外的是,注射试验却表明,三氟苯嘧啶可以引起褐飞虱、蚜虫和美洲大蠊(Periplaneta americana)的嗜睡中毒,这与作为乙酰胆碱受体激动剂的吡虫啉等新烟碱类杀虫剂恰恰相反。
在分离美洲大蠊神经元的电压钳研究中,三氟苯嘧啶抑制nAChR电流,LC50值为0.6nmol/L,激活nAChR电流的最低浓度为100μmol/L。此外,三氟苯嘧啶对表达嵌合nAChRs(果蝇α2/鸡β2)的非洲爪蟾卵母细胞也表现出类似的抑制作用,而且美洲对虾神经元的乙酰胆碱联合应用试验表明:这种抑制作用具有迅速、持久的特点。因此可确定三氟苯嘧啶属于乙酰胆碱受体抑制剂,虽然其与新烟碱类杀虫剂结合在同一位点,但两者与结合位点的作用方式有所不同。然而,目前尚不清楚介离子杀虫剂的抑制作用是由于维持受体处于静息状态还是处于脱敏状态,为了更好地理解其抑制机制,还需进行进一步的单通道研究。
另一项研究表明:在注射了与三氟苯嘧啶结构差异不大的介离子杀虫剂二氯噻吡嘧啶后,美洲大蠊却显示出神经兴奋症状,注射后1h内表现出腿部过度伸展、激动感增加,随后产生轻微身体颤栗、无法站立等症状。针对其不同的作用症状,Caleb等进行了进一步研究,绿棉铃虫全细胞电压钳试验中,在标准浓度下二氯噻吡嘧啶并不能引起nAChR电流的响应,这与鳞翅目活性的新烟碱杀虫剂啶虫脒(aetamiprid)等相反,进一步的研究,分离的美洲大蠊胸神经细胞电压钳研究中,也显示出对nAChR电流的抑制作用。如此细微的结构变化,导致中毒症状却大相径庭,其中的具体原因尚不明确。
截至目前虽然已经明确介离子杀虫剂是作为乙酰胆碱受体抑制剂与nAChR的正构体位点结合,但仍有很多问题需要探明。例如其与结合位点的作用方式与新烟碱类杀虫剂又有何不同?介离子杀虫剂究竟与nAChR的哪些氨基酸残基相互作用?为何三氟苯嘧啶与二氯噻吡嘧啶的结构差异极小却能引起不同的中毒症状。
目前已报道的结构类型主要分为嘧啶酮、噻(噁)二唑、咪唑三大类,其中大多以吡啶并的稠环形式为主,单环结构相对较少。吡啶并嘧啶酮类介离子在吡啶环,嘧啶环,和苯环3个位置的优化已经进行了大量的研究,从结果来看,在嘧啶环上优化效果最好,嘧啶酮1-位上取代基团的结构变化更为多样,氰基乙基的引入活性得到了明显的提升,是一个潜力较大的研究方向。
而在苯环上的优化多集中在间位的取代优化,氯、氟和三氟甲基为优势取代基团,引入肟、肟醚、脒等结构也有很好的效果。此外,在吡啶环上引入1,3-二甲基吡唑为该类化合物优化提供了新思路。
在3-位取代的苯环上噻(噁)二唑类化合物中,噻唑环的5-位不取代或者甲基取代活性较好,取代结构增大活性反而降低。在咪唑类介离子化合物中,咪唑环1-位的优势活性基团为2-氯-噻唑-5-甲基、6-氯-吡啶-3-甲基、氰乙基,2-位或3-位的优势活性基团为乙酰基、三氟乙酰基等。由BASF开发的、2021年6月获得ISO农药通用名称的fenmezoditiaz的出现,将对五元杂环并嘧啶酮类介离子化合物的优化产生持续影响。
综上所述,虽然目前已报道的介离子化合物中大部分为六元杂环,但五元杂环类介离子也表现出了不俗的杀虫活性。除此之外,目前对介离子杀虫剂的作用机理研究较少,其作为乙酰胆碱受体抑制剂的具体作用机制尚不明确,需要更进一步进行单通道实验研究。随着机理研究的深入,可能为介离子杀虫剂的研发以及优化带来更多启发。