简述
2,6-二氯苯腈是一种化学物质,分子式是C7H3Cl2N。2,6-二氯苯腈的上游为邻硝基甲苯、2,6-二氯甲苯、2,6-二氯苯甲醛、邻二氯苯原料行业。下游是多种除草剂和杀虫剂的中间体,用于生产草克乐、除虫脲、氟幼脲等10余种农药,另外,2,6-二氟苯腈在工程塑料、电子材料及染料等方面也有所应用。
2,6-二氯苯腈是一种化学物质,分子式是C7H3Cl2N。2,6-二氯苯腈的上游为邻硝基甲苯、2,6-二氯甲苯、2,6-二氯苯甲醛、邻二氯苯原料行业。下游是多种除草剂和杀虫剂的中间体,用于生产草克乐、除虫脲、氟幼脲等10余种农药,另外,2,6-二氟苯腈在工程塑料、电子材料及染料等方面也有所应用。
生意社2024年12月3日的2,6-二氯苯腈价格最新行情,2,6-二氯苯腈价格为25000元/吨。曲合期货网2024年12月11日提供的2,6-二氯苯腈价格最新行情报价也为25000元/吨,经调研真实市场价为45000元/吨左右。


二卤代苯腈的合成方法有光卤代法、氨氧化法、相转移催化合成法或羧酸与尿素反应等。
01 醛肟脱水法

醛肟脱水法工艺原理

醛肟脱水法工艺流程
该合成路线是以硝基苯为原料经氧化等6步反应而得,其总收率达到45%以上,纯度达到95%以上,熔点67~69℃。醛肟脱水法工艺路线长,流程复杂,反应选择性低,三废多,处理困难,大规模生产,不建议采用该工艺。
02 二氯苯胺法

该法以2,6-二氯苯胺为原料经重氮化,腈化两步反应制得DCBN,再经水蒸汽蒸馏从反应物中分离出产品DCBN,总收率70%左右。2,6-二氯苯胺法的原料2, 6-二氯苯胺价格较高,且使用剧毒的氰化钠,故路线不适宜工业化生产。
03 2-氯-6-硝基甲苯法

2-氯-6-硝基甲苯经高温氯化,再经肟化得DCBN。该法污染较重,且分离难,路线较长,工业化生产有一定困难。
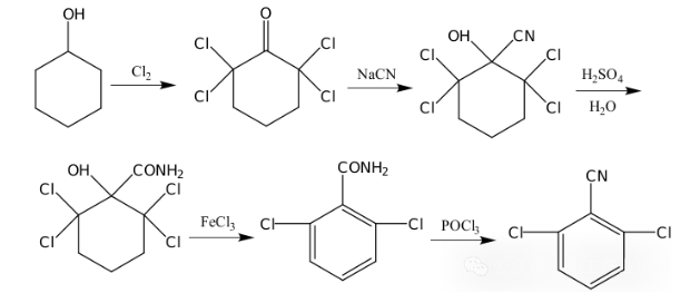
04 环己醇法

该法污染较重,路线较长,硫酸催化剂废液处理困难,且分离难,产品收率低,工业化生产有一定困难。且使用剧毒的氰化钠,故路线不适宜工业化生产。
05 氯苄法

采用2,6-二氯甲苯为起始原料,在五氯化磷和光的催化作用下,经氯化制得 2,6-二氯二氯苄,再经水解、腈化制得 2,6-二氯苯甲腈粗品,精制后,得到 2,6- 二氯苯腈精品。本发明易于生产控制,原料消耗少,生产成本低,还减少了固体废料的产生、 减少了含氮的亚硝基物废气的排放,是一种节能、 减排、环保的工业化实用性清洁生产工艺。
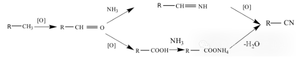
06 氨氧化法
氨氧化是烯烃、芳烃、烷烃及其衍生物和空气(氧气)、氨气混和在催化剂上反应得到氰基类化合的一类反应。反应式如下:
R-CH3+NH3+1.5O2→R-CN+3H2O

金松寿提出了集团结构适应理论,其要点为:催化剂是由相互影响、相互联系的各种活性中心组成的集团,而其集团结构必须和反应步骤相适应。氨氧化过程需要经过多步脱氢、供氧,然后氰化生成产物。因此合适的催化剂需要相对合适的活性和数目的脱氢、供氧中心。
该工艺的关键是研制转化率高、选择性好的催化剂。
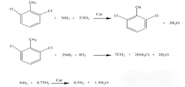
氨氧化法技术除应用于二氯苯腈的生产,也可运用于2-甲基吡嗪、2-氰基吡嗪的制备。
工艺流程:中温氯化是将原料邻硝基甲苯,在搅拌下加入无水FeCl3、I2,於50±2℃时开始通入液氯汽化经干燥的氯气(放热反应)。反应结束后、减压蒸馏回收原料邻硝基甲苯套用。底料转于高温氯化、加入三氯化磷控制氯化深度、反应终点后经减压蒸馏、馏液转入氨氧化工艺、催化氨氧化是将空气、NH3及汽化的高温氯化底物、以设定流量于320℃(放热、回收)条件下经催化氨氧化完成反应、捕集氨氧化的产物。混合粗产品用分离器经洗涤、冷析、精制后分别得到2.6-DCBN、2.4-DCBN及副产物氯化铵。

主反应方程式:

副反应方程式:
