提示
×
取消
确定
当前位置:首页 > 新闻资讯
悬浮剂中的表面活性剂简介
来源:农药行业数字化服务   发布时间:2025-06-18 10:21
简述
农药悬浮剂中分散相粒子很小,平均粒径为2~3μm,分散相与分散介质间存在相当大的相界面和界面能,是一种介于胶体和粗分散体系之间的热力学不稳定体系。粒子会自动聚集,从而使界面面积缩小,界面能降低,以至于整个悬浮剂体系被破坏,因此需加入适当润湿分散剂,提供粒子分散和阻止研磨后粒子的絮凝,保证粒子呈悬浮状态,以此解决颗粒聚结变大、沉降析水、稠化结块等分散稳定性问题。

农药悬浮剂中分散相粒子很小,平均粒径为2~3μm,分散相与分散介质间存在相当大的相界面和界面能,是一种介于胶体和粗分散体系之间的热力学不稳定体系。粒子会自动聚集,从而使界面面积缩小,界面能降低,以至于整个悬浮剂体系被破坏,因此需加入适当润湿分散剂,提供粒子分散和阻止研磨后粒子的絮凝,保证粒子呈悬浮状态,以此解决颗粒聚结变大、沉降析水、稠化结块等分散稳定性问题。近年来,随着表面活性剂技术的深入研究,已有一大批新型、高效的表面活性剂被开发和应用在悬浮剂中,对悬浮剂的开发起了极大推动作用。现将近年来的一些在悬浮剂中成功应用的几类新型的表面活性剂作简单介绍。

一、木质素磺酸盐

木质素磺酸盐(如木质素磺酸钠、木质素磺酸钙和木质素磺酸铵等)是一类阴离子表面活性剂,广泛应用在油田、水泥、水处理、有机染料和农药等领域,用作减水剂、絮凝剂和分散剂。在当今开发的农药新剂型(安全和环保型的悬浮剂、水分散粒剂和微囊悬浮剂)中,木质素磺酸盐也起着有效的分散作用。

木质素磺酸盐的相对分子质量大,不仅可提供静电斥力,而且能提供空间位阻作用,使分散的颗粒不团聚或者悬浮粒子之间不凝聚,提供良良好的分散性和悬浮能力。针对不同的农药有效成分,可选用不同磺化度的木质素磺酸盐。对具有亲水基或亲水性较强的农药,可选用低磺化度的木质素磺酸盐;反之则宜选用高磺化度的木质素磺酸盐产品。木质素磺酸盐在水中溶解得很快,有利于颗粒的吸附。不足之处在于它在降低表面张力、润湿性和渗透力方面较差,分散持久性较差,而且常带有颜色。一般推荐它与萘磺酸盐甲醛缩合物一起使用,从而起到更好的分散和稳定作用。

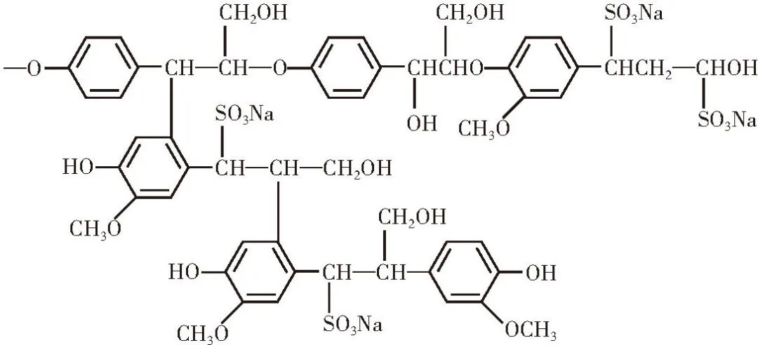
为了得到各种性能的木质素磺酸盐,并有选择性地增强某些性质,或者为了某种特殊应用的需要,可以通过各种化学过程对木质素中的酚型结构进行改性;也可以通过形成氢键或者在苯丙基单体支链上的α-和β-取代羟基上进行改性;还可以进一步调整木质素的磺化度和木质素磺酸盐的相对分子质量大小,从而开发出一系列具有不同性能的专门化学产品。除此之外,由于木质素结构中有酚式羟基上的氢、CC双键、苯酚上其他位置、苯甲醇羟基等能够起反应的基团,因而改性后的木质素磺酸盐品种繁多,结构显得十分复杂,可得到各种不同性能和不同商品牌号的产品。图2-13为木质素磺酸盐的结构片段。

图片


图2-13 木质素磺酸盐结构片段

美国Westvaco公司、挪威Borrgaard公司和加拿大Reed公司是世界上生产和销售木质素磺酸盐产品最大、最主要的公司。目前,市场上常见的用于悬浮剂中的木质素磺酸盐产品见表2-7。

表2-7 常用木质磺酸盐分散剂产品

图片


美德维实伟克公司(Mead-Westvaco Co.)的Reax和Polyfon系列木质素磺酸盐分散剂产品在农药悬浮剂配方中得到了广泛应用。如500g/L莠去津悬浮剂、500g/L敌草隆悬浮剂,见表2-8。


图片


表2-8 木质素磺酸盐分散剂产品在悬浮剂配方中的应用


二、萘磺酸盐甲醛缩合物

萘磺酸盐甲醛缩合物是一类性能优良的阴离子表面活性剂,在减水剂、染料和农化行业中有着广泛应用。萘磺酸盐甲醛缩合物是许多萘基提供吸附链和磺酸钠提供亲水链的阴离子分散剂,结构式如下:

图片


萘磺酸盐甲醛缩合物的分散性能与其聚合度(及萘核数)和磺酸位置有关。聚合度越高,分散性能越好,具有5个以上萘核数(相对分子质量1000以上)才有一定分散效果;随着萘核数增加到9个(相对分子质量2300),其分散效果升高。

萘磺酸盐甲醛缩合物与其他分散剂相比,分散性较强,分散持久性长,不带色。不足之处是产品在贮存中受潮时,分散性能会降低,常与木质素磺酸盐搭配使用。常见的萘磺酸盐甲醛缩合物有NNO、MF,最著名的是阿克苏诺贝尔公司开发的、以“Morwet”为商品名的烷基萘磺酸钠甲醛缩合物。目前国内常用的萘磺酸钠甲醛缩合物产品见表2-9。


图片


表2-9 常用萘磺酸盐甲醛缩合物分散剂



三、磷酸酯类

磷酸酯类属于阴离子表面活性剂,这类阴离子乳化剂的磷酸基被烷(芳)基链所屏蔽,因而又称为“隐阴离子”,它具有离子性和非离子性的两重性特征。磷酸酯类用作悬浮剂中的分散剂具有以下优点:① 它具有阴离子和非离子性质,也就是说吸附在农药固体粒子上,既能提供电斥力,也能提供空间位阻作用,对提高悬浮剂的稳定性十分有效;② 磷酸酯(盐)的酯键结合牢固,不易受pH值高、低变化的影响;③ 用量少,悬浮率热贮后一般都在90%以上,能得到高质量、稳定的悬浮剂;④ 木质素磺酸盐和烷基萘磺酸盐甲醛缩合物类分散剂,易吸潮,降低分散效率,而磷酸酯类分散剂具有良好的稳定性;⑤ 与其他进口分散剂(如D-450或羧酸盐)相比有较低成本;⑥ 色泽浅,能制得白色悬浮剂,且能制备高含量悬浮剂体系。

磷酸酯类表面活性剂通常是由脂肪醇、脂肪醇醚、烷醇酰胺等含羟基的化合与磷酸化试剂反应,最后用碱中和得到的,其产物多为单酯、双酯、三酯。磷酸酯类分散剂的疏水基一般是C8~C20烷基或链烯基、苯基、烷基苯基、烷芳基;亲水基为聚氧乙烯醚。目前常用的磷酸酯类分散剂有烷基酚聚氧乙烯醚磷酸酯(如NP-7P,NP-10P)、苯乙烯酚聚氧乙烯醚磷酸酯(如601#P,602#P)、环氧乙烷–环氧丙烷共聚物的磷酸酯(单酯和双酯)、多苯乙基酚聚氧乙烯醚磷酸酯盐等。近年来,国内外助剂厂商推出了多款磷酸酯类表面活性剂,如宁柏迪公司的Emulson AG、TRST和TRSS、罗地亚公司的Soprophor SC、赫斯特公司的HOES 3475、竹本油脂公司的YUS-FS3000、威来惠南公司的SCP、科力欧公司的AP-3、江苏钟山化工有限公司、江苏海安石化厂、沧州鸿源农化有限公司等生产的磷酸酯系列表面活性剂,这些产品无论在产品质量还是在应用性能上都各具特色,有力助推了此类分散剂在悬浮剂加工中的使用。

四、聚羧酸盐类


聚羧酸盐类分散剂是近年来开发的一种新型、高效、多功能分散剂,它在水中可溶解,在分散体系介质中对农药有效成分和其他添加成分有着三维空间保护、分散和稳定的作用,在悬浮剂中已广泛应用。与传统分散剂相比,其有显著优点,具体体现在:① 聚羧酸盐类分散剂含多个锚固位点,以多位点吸附与分散颗粒表面,吸附量大,易溶于水的溶剂化段在水中充分伸展,并在农药固体颗粒表面形成足够厚的保护层,空间位阻作用有效地实现了颗粒在介质中的稳定分散。② 传统聚合物分散剂由于锚固基团的无规则分布及卧形吸附的存在,使得同一个分散剂常常吸附在几个固体颗粒上,不仅起不到稳定分散作用,反而会因为“架桥”作用而导致颗粒间的絮凝。聚羧酸盐类分散剂一般为梳型共聚物,其锚固基团处于分子的同一端且紧密相连,相互之间没有足够距离,故同一分散剂的不同锚固基团不可能吸附在不同颗粒上,从而避免了“架桥”絮凝。③ 聚羧酸盐类分散剂可显著降低分散体系的黏度,提高农药有效成分的含量,同时具有较好的流动性,可以用于制备高含量悬浮体系。

聚羧酸盐类分散剂以聚合(或共聚)的烷基长链为疏水基吸附链,羧酸盐为亲水链伸入水相,使悬浮体系达到最大分散和稳定性。这类聚羧酸盐表面活性剂的分子量一般在5000~20000之间。其主要产品有:① 丙烯酸和顺丁烯二酸的共聚物,钠盐的分子量约为8000,铵盐的分子量约为10000。② 甲基丙烯酸和顺丁烯二酸的共聚物的钠盐和铵盐。③ 丁烯二酸和苯乙烯的共聚物,钠盐的分子量约为5000,铵盐的分子量约为15000。④ 丁烯二酸和二异丁烯的共聚物的钠盐和铵盐的分子量均为12000。⑤ 马来酸-丙烯酸共聚物钠盐,分子量在10000以上。这类产品在研制悬浮剂剂中用量较少,一般为0.5%~3%。

国外农化公司在我国提供的主要聚羧酸盐分散剂有:罗地亚的Geropon T/36和Geropon T/72(均为固体粉)、亨斯曼的Tersperse 2700(固体粉)和Tersperse 2735(液体)、日本竹本油脂会社的YUS-WG 5(固体粉)和CH 7000(液体)、陶氏化学的DURAMAXTM D305(液体)等。国外聚羧酸钠盐分散剂产品(如Geropon TA-72S和Geropon T/36)用于悬浮剂是有效的,它们与烷基苯磺酸盐(尤其是ABS-Na)和木质素磺酸钠以及脂肪醇聚氧乙烯醚硫酸盐的复配使用也是十分有效的。国内对聚羧酸盐的开发和研究起步较晚,但也报道了一些聚羧酸盐品种,如GY-D、NBZ-3、DA-50、WH-1、PD-5等。

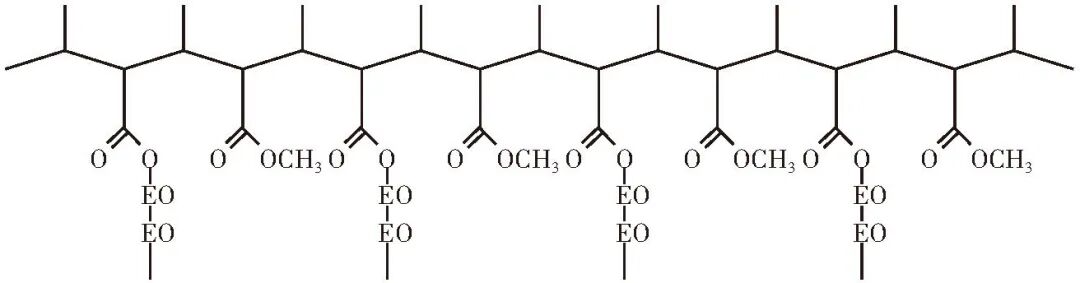
五、EO-PO嵌段共聚物


EO-PO嵌段共聚物中以聚氧丙烯链为疏水部分,聚氧乙烯链为亲水部分。疏水基PO与亲水基EO的加成可以调节、组合,因而它的分子量、HLB值、物态及其性能可以选择。一般来讲,PO的聚合度为20~40,作为疏水基的PO分子量不得低于1000,EO的聚合度可在较大范围内变化,不同EO含量具有显著不同的性能。由于EO段和PO段聚合度的变化会导致EO-PO嵌断共聚物的性质发生较大变化,因此根据不同用途改变EO和PO的聚合度很重要。

EO-PO嵌段共聚物中最著名的是Basf,商品名为Pluronic的聚醚系列产品,它是以乙二醇为起始剂,依次加入聚氧丙烯、聚氧乙烯得到的聚醚共聚物产品,其结构式为:HO(C2H4O)a(C3H6O)b(C2H4O)aH,其中:聚氧乙烯(C2H4O)a约占总量的10%~80%,b≥15。Pluronic聚醚产品的优点是无味、无臭、无毒和无刺激性,与酸、碱及金属离子都不起作用,有很好的稳定性;缺点是生物降解性较差,特别是当聚氧丙烯含量高时,生物降解性更差。Pluronic聚醚产品品种很多,可应用于各个行业。分子量小和中等的液态或糊状聚醚产品可用作有效的乳化剂,而分子质量大的聚醚产品分散性能分散性能好,可用作悬浮剂、水分散粒剂和悬乳剂的分散剂。其次还有一些EO-PO嵌段共聚物类分散剂在悬浮剂中使用的效果也是不错的,如阿克苏诺贝尔公司的EthylanTM NS 500LQ、竹本油脂公司的YUS-5050PB、陶氏化学的DURAMAXTM D800。EO-PO嵌段共聚物常用来制备水中溶解度较大、低熔点的农药有效成分的悬浮剂。EO-PO嵌段共聚物用作分散剂的不足之处是聚氧丙烯的疏水链与聚氧乙烯的亲水链之间差异太小,有可能不能完全解决它们从吸附粒子上脱落的问题,从而导致剂型的不稳定。因此,这种聚醚产品最好能与其他分散剂一起使用,其效果更好。

六、梳型共聚物


梳型共聚物分散剂的研究只有十多年历史,研制的目的是想解决高分子分散剂分子内或分子间易于产生相互缠绕,不易在表/界面上排列和难于在表/界面上吸附,以及得到更大分子量的分散剂等问题。梳型共聚物分散剂的合成思路是在高分子的侧链上单独或同时引入亲水基团和疏水基团。由于亲水基团或疏水基团的相互排斥,使得分子内或分子间的卷曲和缠结大大减少,高分子链在水溶液中排列成“梳子”形状。

这类梳型共聚物分散剂典型的代表是Atlox 4913(英国禾禾大)和AgrilanTM 752(荷兰阿克苏诺贝尔)。Atlox 4913是由很长的聚甲基丙烯酸/甲基丙烯酸甲酯亲油基主链作为骨架,起着锚吸在颗粒上的作用,能强烈吸附在粒子表面不脱吸,而与主链相连的聚氧乙烯支链为亲水基,像齿一样伸入水相,围绕在粒子周围起着空间位阻作用。这种共聚物有极高的分子量,约20000~30000,每个EO支链的分子量平均为750,相当于约17个EO基。其结构示意见图2-14。

图片


图2-14 梳型共聚物分散剂

这种梳型共聚物分散剂在水中溶解时不会增加黏度,具有特大的分子量,对悬浮剂中分散的固体粒子有极强的锚吸能力和胶体稳定能力,可以称得上是超强分散剂。它与传统常规分散剂相比,其吸附能力要大10倍。它锚吸在粒子上后,几乎很难从粒子表面上脱吸,而且它在水中溶解时不会增加分散体系的黏度,但因其分子量大,在水中的扩散速度较慢,完成粒子表面上的锚吸需要较长时间。在实际使用时,常常需要与另一些分子量较小的、扩散速度较快的分散剂混合使用,效果更好。梳型共聚物用作农药分散剂能改善制剂的热贮稳定性,常用来制备高浓度的悬浮剂和悬乳剂和水中溶解度较大、易引起奥氏熟化作用的农药有效成农药有效成分的悬浮剂。

七、接枝共聚物


这是一种聚合的丙烯酸接枝共聚物,起着一种聚合的非离子分散剂的功能,例如,TERSPERSE 2500和TERSPERSE 2700。当它与普通非离子分散剂一起使用时,可大大降低预研磨料分散液的黏度,使物料变得容易研磨。它能强烈地吸附在粒子表面,不易脱吸,从而改进悬浮剂分散液的稳定性,在加工高含量农药或在农药难于被润湿的情况下使用较为有利,用量一般在1%~3%之间。在悬浮剂中,某些农药有效成分由于存在奥氏熟化作用是难以稳定的。倘若这类农药有效成分在分散介质中溶解度太大,随着温度的改变可引起结晶或晶体长大问题,最终导致剂型失去稳定性。当使用3%~5%接枝共聚物分散剂时,它在悬浮剂体系范围内能阻止奥氏熟化作用发生。

目前,国内金浦集团成功开发的ZHDISP系列分散剂是一种具有梳型结构的聚羧酸盐产品,其在悬浮体系中依靠自身的锚固基团牢牢地吸附于被分散的原药粒子表面,借助于自身电离在原药粒子表面形成双电层产生静电斥力,长侧链伸向水中形成溶剂化层产生空间位阻,双重效应使被分散的原药粒子稳定地分散于悬浮介质中。目前已在48%吡虫啉SC、50%莠去津SC小试取得得成功。

八、特种水性分散剂


这是由ISP(国际特品)公司开发的一类环保型水性分散剂,如Easysperse P20和Easysperse 25。其中,Easysperse P20是聚乙烯基吡咯烷酮和甲基乙烯基醚/马来酸酐聚合物的混合物,以其优越的分散性能和耐雨水冲刷性能被广泛应用于悬浮剂中。由于它具有无污染和高性价比的竞争优势,对于开发环境友好的悬浮剂具有重要的实用价值。孙毅等以Easysperse P20为主分散剂,制备了5种市场上常用农药(异丙隆、西玛津、敌草隆、氟虫腈和吡虫啉)的悬浮剂,在悬浮率上显著高于使用其他分散剂制备的悬浮剂,可以有效提高悬浮剂的分散性和稳定性,显著提高耐雨水冲刷能力,这可能与Easysperse P20具有一定的成膜性有关。

九、二聚表面活性剂


二聚表面活性剂,又称Gemini型表面活性剂。二聚表面活性剂突破传统表面活性剂的单链结构,通过一个间隔链将两个相同或相似的双亲体,以其亲水基或靠近亲水基的位置连接起来。正是因为这种独特的结构,使二聚表面活性剂具有比传统表面活性剂更优良的物化性质和应用性能。水溶性好,润湿、乳化、分散作用佳,表面活性大大优于同类型的的传统表面活性剂。被Rosen誉为新一代表面活性剂的代表。在农药上应用的主要是阴离子Gemini型表面活性剂和非离子Gemini型表面活性剂。阴离子Gemini型表面活性剂最早报道的是美国开发的用于洗涤助剂的羧酸类Gemini表面活性剂。磺酸盐和硫酸酯类Gemini表面活性剂开发得也较早,目前工业化的只有烷基二苯醚双磺酸盐,尚无其他品种工业化。非离子的醇醚、酚醚Gemini表面活性剂已有工业化产品供应,是一种非常好的润湿剂,因合成成本高于传统非离子表面活性剂,难以大规模应用,目前仅少量用于高档涂料和农药作为乳化剂应用。国外又有关于杂双子表面活剂(heterogemini surfactant)的研究,与Gemini型表面活性剂不同的是,它具有不同的亲水基,这类表面活性剂能有效地降低靶标的表面张力。国内深圳钟南化工有限公司开发的Gemini分散剂改性双酚A聚氧乙烯醚磷酸酯盐SFR-2,已在多菌灵、虫酰肼悬浮剂中有应用研究。