提示
×
取消
确定
当前位置:首页 > 新闻资讯
苯甲酰胺类保护性杀菌剂苯酰菌胺,目前登记证件较少
来源:农化专利网   发布时间:2024-03-11 08:46
简述
苯酰菌胺是一种苯甲酰胺类杀菌剂,由罗门哈斯公司(现为陶氏农业科学公司)研发,用于防治卵菌纲病害,如马铃薯和番茄晚疫病、黄瓜霜霉病和葡萄霜霉病等,具有保护和治疗作用。

苯酰菌胺是一种苯甲酰胺类杀菌剂,由罗门哈斯公司(现为陶氏农业科学公司)研发,用于防治卵菌纲病害,如马铃薯和番茄晚疫病、黄瓜霜霉病和葡萄霜霉病等,具有保护和治疗作用。


产品简


英文名称:zoxamide;


中文名称:苯酰菌胺;


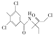
化学名称:3,5-二氯-N-(3-氯-1-乙基-1-甲基-2-氧丙基)-4-甲基苯甲酰胺;


分子式:C14H16Cl3NO2


相对分子质量:336.6;


CAS登录号:156052-68-5;


结构式:


图片


理化性质:熔点:159.5-160.5℃,蒸气压<1 10-2 mPa (up to 45°C),分配系数KOW logP=3.76 (20°C),在水中的溶解度: 0.681 mg/L(20°C)。


作用机理


苯酰菌胺是一种苯甲酰胺类保护性杀菌剂,它通过微管蛋白β-亚基的结合和微管细胞骨架的破裂来抑制菌核分裂,不影响游动孢子的游动、包囊形成或萌发,伴随着菌核分裂的第一个循环,芽管的伸长受到抑制,从而阻止病菌穿透寄主植物。苯酰菌胺可防治包括葡萄和马铃薯在内的果树和蔬菜等作物上由卵菌纲真菌引起的病害,如马铃薯和番茄晚疫病、黄瓜霜霉病和葡萄霜霉病等。


登记情况


根据中国农药信息网数据整理,截至2024年3月1号,苯酰菌胺相关的证件只有3个,生产企业较少。


图片


欧盟登记情况:有效期到2033年。


图片


澳大利亚暂无登记。



美国登记情况:2001年在美国上市,目前有4个登记,如下图所示:


图片

合成路线


根据报道,目前合成苯酰菌胺的合成工艺路线主要有两条:



路线一:文献报道以3,5-二氯-4-甲基苯甲酰氯、3-氨基-1-氯-甲基-2-戊酮盐酸盐、氯化亚砜、N-甲基吗啡啉、甲基叔丁醚等为原料合成,其中原料3-氨基-1-氯-3-甲基-2-戊酮盐酸盐较难得到,收率偏低,没有生产量化。


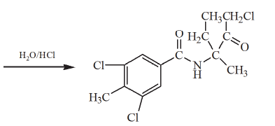
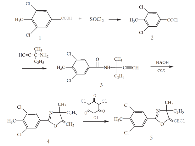
路线二:文献报道是以3,5-二氯-4甲基苯甲酸、3-氨基-3-甲基-1-戊炔、三氯异氰尿酸等为原料合成,经酰氯化、酰胺化、异构合环、氯化、水解合成苯酰菌胺。其原料3-氨基-3-甲基-1-戊炔较易制备,工艺操作相对简单,反应条件温和,生产周期短,收率高,适合工业化生产,其合成路线如下图所示。


图片

图片


苯酰菌胺作为苯甲酰胺类保护性杀菌剂,具有广阔的应用前景和市场前景,然而目前登记证件较少,该产品的市场竞争力有待提高。


图片

文章来农博生物