提示
×
取消
确定
当前位置:首页 > 新闻资讯
关于砜吡草唑中间体的工艺方法专利在中国维持有效的分析
来源:磊子侃农药   发布时间:2024-08-06 09:58
简述
砜吡草唑,英文名称为Pyroxasulfone,是由日本组合化学公司和庵原化学工业株式会社共同开发的一种新型苗前除草剂。近日组合化学发表声明,砜吡草唑中间体合成工艺专利ZL200580010635.9抵抗住了专利无效,国知局已经作出决定,维持该专利权有效。

砜吡草唑,英文名称为Pyroxasulfone,是由日本组合化学公司和庵原化学工业株式会社共同开发的一种新型苗前除草剂。


近日组合化学发表声明,砜吡草唑中间体合成工艺专利ZL200580010635.9抵抗住了专利无效,国知局已经作出决定,维持该专利权有效。

图片


随着全球农化市场知识产权保护意识的加强,以及各国专利侵权纠纷的频繁发生,“专利无效”也成为实施者和原研企业之间相互制衡的重要手段之一,常见的发起专利无效的情形有:1)专利权人针对涉案产品/技术发起侵权诉讼,被诉侵权人釜底抽薪对涉案专利提起无效;2)在专利侵权风险排查中,发现有难以规避,或规避成本过高的高风险专利,也会考虑通过专利无效的途径清除专利侵权风险。

背景信息


一、什么是无效宣告请求,需要怎么提起?

获得专利权后并非一劳永逸,根据我国《专利法》第四十五条规定 自国务院专利行政部门公告授予专利权之日起,任何单位或者个人认为该专利权的授予不符合本法有关规定的,可以请求国务院专利行政部门宣告该专利权无效。

  那么提起无效,专利被无效/或被维持后有哪些救济途径呢,我们可以简单梳理一下专利无效提起及审查的流程:

图片


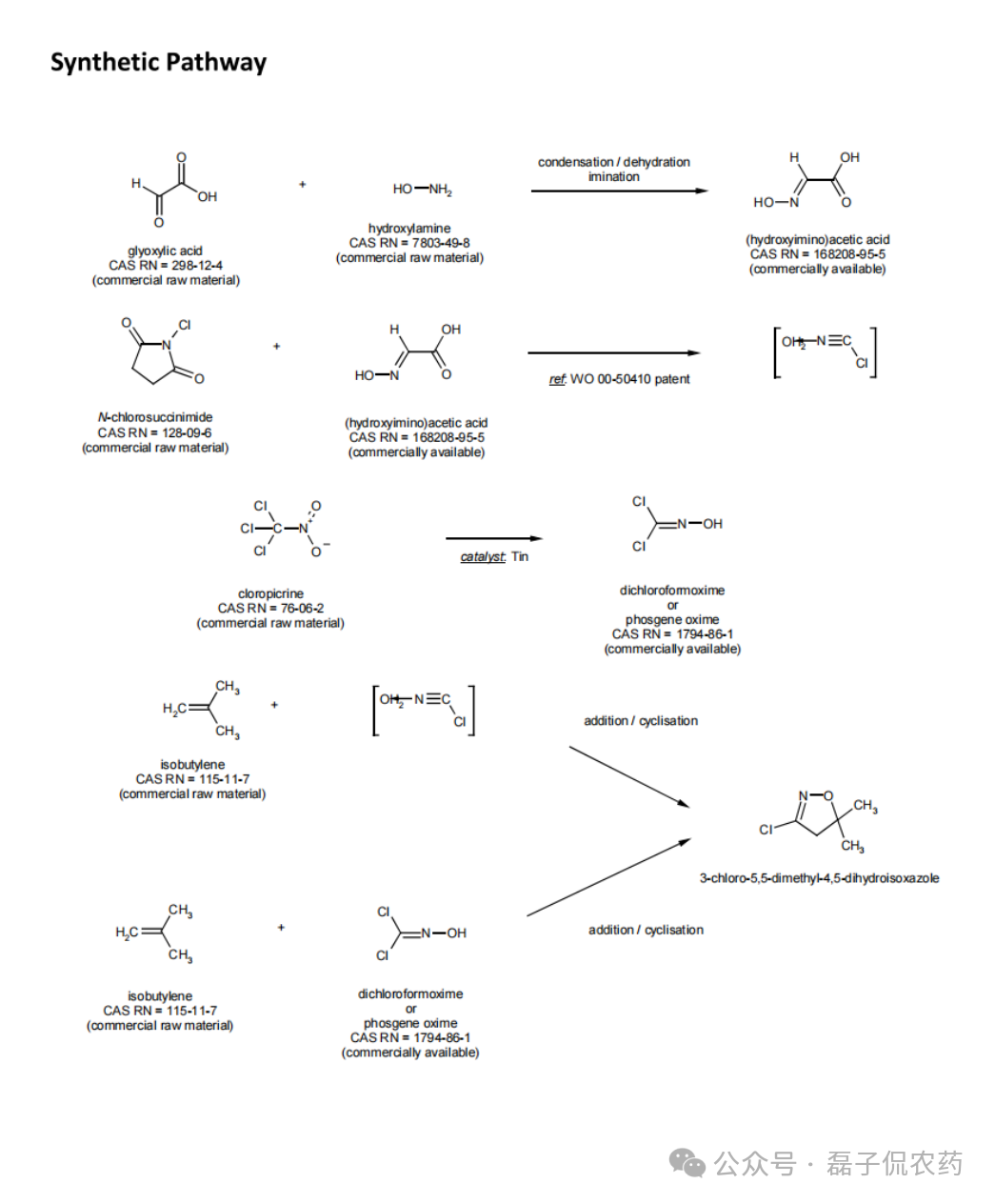
二.国内市场主流的砜吡草唑合成工艺

砜吡草唑的合成通常由3-(5-二氟甲氧基-1-甲基-3-三氟甲基吡唑-4-基)甲硫基-4,5-二氢5,5-二甲基异噁唑(M1)经一步氧化得到(如下图所示)。关键中间体M1分子由异噁唑环和吡唑环2部分组成。

图片

  
国内目前的商业化合成工艺仍然是组合化学采用的合成工艺:

图片

图片


案件中涉及的工艺的中间体合成工艺专利,授权公告号是CN 1938278 B, 申请日为2005年3月31日。预计2025年3月31日专利到期。

图片


其保护的合成工艺并非国内目前常规使用的合成工艺:

 

图片


该专利保护的是5-羟基-4-硫甲基吡唑化合物制备的方法。

其通过硫化物的反应制取硫化产物与国内常用工艺并不相同:

常规砜吡草唑合成中制取硫化产物的过程:

图片


该专利中保护的制备方法为:

图片


在国内的文献中,该专利方法取得乙酰硫基的硫化物为硫代乙酸钾:

图片


案件信息


砜吡草唑中间体合成工艺专利的无效决定
 

图片

案由

图片


无效理由及结果

请求人于 2023 年 09 月 11 日向国家知识产权局提出了无效宣告请求,其理由是本专利权利要求 1-6 在说明书中公开不充分,不符合专利法第 26 条第 3 款的规定;权利要求 1-6 得不到说明书的支持,不符合专利法第 26 条第 4 款的规定;权利要求 1-6 不具有创造性,不符合专利法第 22 条第 3 款的规定,请求宣告本专利权利要求 1-6 全部无效 。

经过审查后,合议组认为请求人的所有无效理由均不成立,合议组作出决定:维持 200580010635.9 号发明专利权有效。

总 结


该制备方法专利和目前国内砜吡草唑合成方式所涉及的制备方法并不相同。虽然目前在砜吡草唑合成过程中侵权风险较小,但在后续合成工艺优化的过程中就需要注意绕开该步骤降低侵权风险。

但该专利也将于2025年3月31日到期。