氟啶虫胺腈(sulfoxaflor)为美国陶氏益农公司(Dow AgroSciences)研制第1个新颖的磺酰亚胺类农用杀虫剂,2010年11月2日在英国伦敦召开世界农药研究会议上,该公司将其公布。
氟啶虫胺腈杀虫谱与新烟碱杀虫剂有所不同,其对新烟碱类产生抗性的刺吸性昆虫也具有较高防效效果,可以说是抗性管理方面的一个新防治药剂,被杀虫剂抗性行动委员会(Insecticide Resistance Action Committee,IRAC)认定为全新Group 4C类杀虫剂中唯一成员。氟啶虫胺腈的分子式为C10H10F3N3OS,化学结构式如下:

其化学名称:[1-[6-(三氟甲基)吡啶-3-基]乙基]-λ4-巯基氨腈。分子式:C10 H10 F3N3OS; 分子量:277.27.
作用于刺吸口器害虫的乙酰胆碱受体独特的结合位点而发挥杀虫功效,氟啶虫胺腈作用方式为触杀和胃毒,具有内吸传导和渗透作用,高效、广谱活性,使用量低并且残效期长。
适用于防治蚜虫、粉虱、飞虱和蚧壳虫等。能有效防治对烟碱类、菊酯类、有机磷类和氨基甲酸酯类农药产生抗性的刺吸式口器害虫。对非靶标节肢动物毒性低。
氟啶虫胺腈作用广谱,可用于棉花、油菜、果树、大豆、水果、小粒谷物、蔬菜、水稻、草坪和观赏植物防治如蚜虫、盲蝽、蝽象、粉虱、蚧壳虫、飞虱、某些木虱、蓟马等多种刺吸式害虫。与其他杀虫剂无交互抗性。
原药急性经口LD50:雌大鼠1000mg/kg,雄大鼠1405mg/kg;原药急性经皮LD50:大鼠(雌/雄)>5000mg/kg。制剂急性经口LD50:>2000mg/kg。
氟啶虫胺腈的活性结构在2010年世界农药研究会议上公布,它是通过以砜亚胺类化合物(A)为前体修饰得到。陶氏益农公司通过对R1、R2和R3位置结构的变化,发现芳氧基苄基砜亚胺类化合物(B)具有杀菌活性,对R3的结构变化中,得到一类N-硝基砜亚胺类化合物(C),显示了潜在的良好杀蚜虫活性,以此作为杀蚜虫活性物的先导,通过构效关系研究发现了化合物(D),进而优化得到高杀虫活性的化合物氟啶虫胺腈。

2010年6月,陶氏益农公司在中国取得50%氟啶虫胺腈水分散粒剂防治棉花粉虱、棉花盲蝽和小麦蚜虫的田间试验批准证;同年7月又在中国取得了22%氟啶虫胺悬浮剂防治黄瓜粉虱和21.8%氟啶虫胺腈悬浮剂防治水稻飞虱田间试验批准证。氟啶虫胺腈在中国登记的原药含量为95.9%。
2011年氟啶虫胺腈在韩国获得登记,被用于苹果、梨子和红辣椒等病虫害的防治。2012年,美国环保署(EPA)根据紧急豁免规定,临时允许氟啶虫胺腈用于美国阿肯色洲、密西西比州、田纳西州和路易斯安那州等4个地方州棉花牧草盲蝽的防治。
目前,氟啶虫胺腈在全球登记和上市的国家已经超过40个,包括:韩国、巴拿马、印度尼西亚、危地马拉、越南、美国、加拿大、澳大利亚、中国、新西兰、肯尼亚、欧盟(捷克、EL、法国、爱尔兰、斯洛伐克)等国家和地区。2016年,氟啶虫胺腈销售额达1.05亿美元,步入全球超亿美元产品行列。
氟啶虫胺腈(sulfoxaflor)目前仍然为科迪华排名前五的杀虫剂之一,2018年为科迪华带来1.72亿美元的收入。其快速的增长的原因是由于新烟碱类杀虫剂高蜂毒在欧盟禁用以及长期使用新烟碱类杀虫剂造成的靶标害虫产生的严重抗性。都使得氟啶虫胺腈成为取代新烟碱类杀虫剂的不二选择。
专利名称:Insecticidal N - S u b s t i t u t e d (6-haloalkylpyridin-3-yl-)alkyl Sulfoximines。
专利号:WO2007095229,专利公开日:2007-8-23。
专利申请日:2007-2-9。
专利优先权日:2006-2-10;2006-8-7。
专利拥有者:DOW AGROSCIENCES LLC。
氟啶虫胺腈专利到期日为2026年。
国内目前有氟啶虫胺腈相关登记3个,均来自于科迪华农业科技有限公司。其中原药为95.9%。单剂为22%水分散粒剂以及50%悬浮剂。
其单剂主要用于蔬菜,棉花,及小麦等,防治蚜虫和粉虱,绿盲蝽等。
合成工艺1
以3-氯甲基-6-(三氟甲基)吡啶为起始原料,其与甲硫醇钠反应生成3-[1-(甲硫基)甲基]-6(三氟甲基)吡啶(化合物A);化合物A和胺腈在碘苯二乙酯中反应生成甲基[1-(2-三氟甲基吡啶-5-基)乙基-N-氰基]硫亚胺(化合物B);化合物B再经过氧化及甲基化2步反应得到氟啶虫胺腈。

合成工艺2
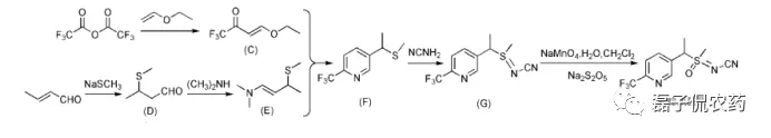
三氟乙酸酐与乙烯基乙醚反应生成1,1,1-三氟甲基-2-氧代-4-乙氧基-3-丁烯(化合物C);巴豆醛与甲硫醇钠反应制得3-甲硫基丁醛(化合物D),化合物D再与二甲胺生成1-(N, N-二甲基)-3-甲硫基-1-丁烯(化合物E)。化合物C与化合物E反应生成3-[1-(甲硫基)乙基]-6(三氟甲基)吡啶(化合物F),化合物F与单腈胺反应生成甲基[1-(2-三氟甲基吡啶-5-基)乙基]-N-氰基硫亚胺(化合物G),化合物G进一步氧化得到氟啶虫胺腈。

合成工艺3
首先巴豆醛与甲硫醇钠反应生成3-甲硫基丁醛(化合物H);化合物H与四氢吡咯反应得到1-四氢吡咯-3-甲硫基-1-丁烯(化合物I);化合物I与4-氯-4-乙氧基-1,1,1-三氟-2-丁酮反应生成3-[1-(甲硫基)乙基]-6(三氟甲基)吡 啶(化合物F)。其与单腈胺反应生成甲基[1-(2-三氟甲基吡啶-5-基)乙基]-N-氰基硫亚胺(化合物G),再经氧化得到氟啶虫胺腈。
合成工艺4
首先丁醛与吡咯反应生成1-四氢吡咯-1-丁烯(化合物J),化合物J与1-乙氧基-4,4,4-三氟-1-丁烯反应生成5-乙基-2-(三氟甲基)吡啶(化合物K)。化合物K再经溴化得到5-(1-溴乙基)-2-(三氟甲基)吡啶(化合物L),其与甲硫醇钠反应生成3-[1-(甲硫基)乙基]-6(三氟甲基) 吡啶(化合物F),产物化合物F与单腈胺反应生成甲基[1-(2-三氟甲基吡啶-5-基)乙基]-N-氰基硫亚胺(化合物G),最后氧化得到氟啶虫胺腈。
总结
氟啶虫胺腈目前仍然为科迪华的当家品种之一,距离专利过期还有数年的时间。其由于与新烟碱类杀虫剂作用靶标基本重合(都为刺吸口器害虫),以及对环境安全,其在未来很长的时间里都会成为刺吸口器害虫的主流杀虫剂之一,也是应对新烟碱类高蜂毒及抗性风险的潜力品种。
来源:磊子侃农药 有改动