提示
×
取消
确定
当前位置:首页 > 新闻资讯
防治多种刺吸式口器害虫的烟碱类杀虫剂Flupyrimin,目前在我国暂无登记
来源:农化专利网   发布时间:2024-02-05 09:38
简述
四、登记查询1. 中国、美国、欧盟、澳大利亚登记信息:暂无。2. 日本登记信息:五、专利信息六、合成路线简介合成路线一:合成路线二:拜耳公司新开发的合成工艺专利,更适合工业化生产。合成路线三:一锅法。文章来源:BioGuide

图片

图片

四、登记查询

图片

1. 中国、美国、欧盟、澳大利亚登记信息:暂无。


2. 日本登记信息:

图片

图片

图片

五、专利信息

图片

图片

图片

六、合成路线简介

图片

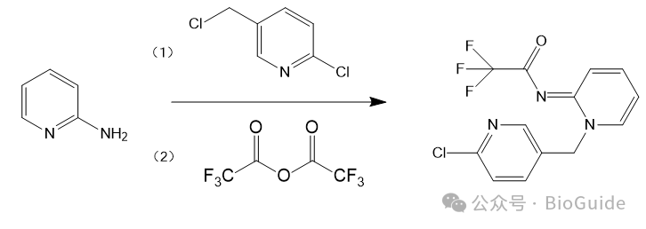
合成路线一:

图片

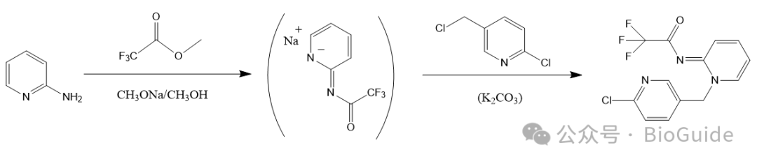
合成路线二:拜耳公司新开发的合成工艺专利,更适合工业化生产。

图片


合成路线三:一锅法。


图片

图片

文章来源BioGuide