超高效的广谱 、低毒、水稻田用除草剂吡嘧磺隆,国内共有原药登记13个
| 来源:农化专利网 |
|
发布时间:2022-11-22 08:57 |
|
简述
吡嘧磺隆是一种超高效 、广谱 、低毒、水稻田用除草剂 ,于20世纪80年代后期由日本日产化学工业株式会社开发成功。于1990年上市。为磺酰脲类除草剂,是乙酰乳酸合成酶(ALS)抑制剂。
吡嘧磺隆是一种超高效 、广谱 、低毒、水稻田用除草剂 ,于20世纪80年代后期由日本日产化学工业株式会社开发成功。于1990年上市。为磺酰脲类除草剂,是乙酰乳酸合成酶(ALS)抑制剂。商品名称:Agreen、Sirius、Sparstar、Star,其他名称:草克星,草灭星,草威,西力士等。化学名称:5-(4,6-二甲氧基嘧啶基-2-氨基甲酰氨基磺-1-甲基吡唑-4-羧酸(乙酯)。
大鼠急性经口LD505840mg/kg(雄)、3690mg/kg(雌);急性经皮LD50>5000mg/kg(也有资料报道雄大鼠为2079~2349mg/kg;雌大鼠为2205mg/kg,雄小鼠为1279mg/kg,雌小鼠为1052mg/kg);大鼠急性吸入LC50>3.9mg/L空气。对兔皮肤和眼睛无刺激作用,对豚鼠皮肤无致敏性。大鼠3个月饲喂试验无作用剂量为400mg/kg饲料。蓄积毒性试验表明,蓄积系数大于5.3,属弱蓄积类化学物质。微核试验和精子畸形试验阴性,无致畸、致突变作用。鲤鱼LC50>10mg/L(48h),虹鳟鱼>40mg/L(48h)。水蚤LC5040mg/L。鹌鹑急性经口LD50>2250mg/kg。蜜蜂LD50>0.1mg/只。
吡嘧磺隆属高活性内吸选择性磺酰脲类除草剂 , 是侧链氨基酸生物合成抑制剂 ,它通过抑制植株所必需的氨基酸缬氨酸和异白氨酸的生物合成来阻止细胞分裂, 使杂草的芽和根很快停止生长发育, 随后整株枯死。
用于移栽或直播水稻田、移栽田 、抛秧田 ,防除阔叶杂草和莎草 ,对水稻安全,一般在水稻1~3叶期使用,每亩用10%可湿性粉剂15~30克拌毒土撒施,也可兑水喷雾。药后保持水层3~5天。移栽田,在插后3~20天用药 ,药后保水5~7天。可防治稗草、稻李氏禾、牛毛毡 、水莎草、异型莎草、水芹等一年生杂草和部分多年生杂草 ,芽前或芽后处理 。
需要注意的是对水稻安全性好,但晚稻品种(粳、糯稻)相对敏感,应尽量避免在晚稻芽期施用,否则易产生药害。

国内共有96个制剂单剂登记,主流剂型是10%可湿性粉剂和15%&20%油悬浮剂。国内共有制剂登记189个,主要是和其他水稻田除草剂复配。如五氟磺草胺,氰氟草酯,双草醚等。
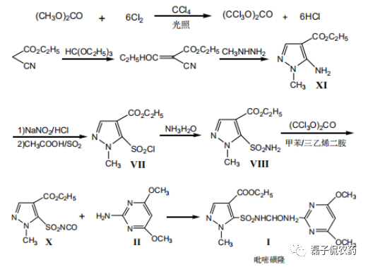
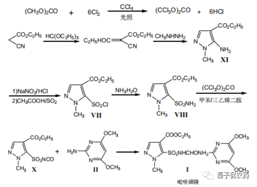
将碳酸二甲酯(三光气)溶于四氯化碳中,光照下通入干燥氯气,反应完全后,停止通入氯气,室温下,通氮气除去过量氯气及氯化氢气体,减压脱除四氯化碳,冷却、结晶、干燥后,得二(三氯甲基)碳酸酯(三光气)。利用二(三氯甲基)碳酸酯(三光气)代替光气,在二甲苯及适量异氰酸正丁酯、三乙烯二胺等催化剂条件下和吡唑磺酰胺反应制备吡唑磺酰基异氰酸酯,再与 2-氨基-4,6-二甲氧基嘧啶反应得吡嘧磺隆。
我国2019年据海关数据统计共出口1935万美元,其中印度占到357万美元,排名第一,其次是越南,共计进口242.4万美元,澳大利亚,缅甸,孟加拉,柬埔寨,印度尼西亚,俄罗斯等国也是吡嘧磺隆的重要出口目的国。

吡嘧磺隆和苄嘧磺隆相比活性更高,安全性更好同时价格也更贵。苄嘧磺隆性价比更加高一些。
来源:磊子侃农药