杀螨剂属于广义杀虫剂中的一种,但由于害螨属于蛛形纲,不属于昆虫纲,其杀虫剂的作用机理与昆虫的作用机理不尽相同。

一般只能杀螨剂只有杀螨活性而无杀虫活性,但也有部分品种兼有杀螨与杀虫杀虫活性,但它们的主要活性是杀虫,不能称为杀螨剂,有时也称它们为杀虫,杀螨剂。在杀螨剂中,对活动态螨(成螨和幼螨、弱螨),对卵的活性也不尽相同。常见的杀螨剂品种有乙螨唑、阿维菌素、螺螨酯 、螺虫乙酯 、联苯肼酯等。
害螨归属于节肢动物门(Arthropoda)蛛形纲(Arachnida)蜱螨目(Acarina),到目前为止有记录的螨类大约是30000多种。植物害螨主要分为叶螨(Tetranychidae)、瘿螨(Eriophyoidea)、跗线螨(Tar‐sonemidae)、根螨(Rhizoglyphus)等,其中以叶螨和瘿 螨 的 危 害 最重,叶螨中则以朱砂叶螨(Tetrany chus cinnabarinus Boisduval)为主要害螨。由于害螨具有体积小、繁殖快、代数多、适应性强及易产生抗药性等特点,因此螨害一旦发生,难防难治。此外由于害螨主要危害作物的叶片,所造成的虫洞会导致其他病原菌的侵染从而形成复合病害,加剧了病害的严重程度。
植食性害螨在全世界范围内均有分布,在我国受危害最严重的作物是大豆、棉花、水稻、果树、茶等。近几年随着设施农业的大面积推广,螨害呈现 逐年加剧的态势,我国每年因害螨危害造成的农业经济损失高达100多亿元。近年来农用杀螨剂的重要性愈发显著,其数量与销售额在农用杀虫杀螨剂中排名第三,仅次于针对鳞翅目和同翅目的农用杀虫剂。
害螨1年内发生的代数多,种群增长能力强,1年内往往要施药数次方能控制其为害,因而害螨较易产生抗药性。为防止或延缓产生抗药性,在使用杀螨剂防治害螨时须注意如下5点。
1. 选用对螨的各个生育期都有效的杀螨剂。叶螨的成螨、若螨的卵往往同时存在,而卵的数量又大大超过成螨、若螨,若使用无杀卵作用的杀螨剂,螨的数量短期内虽有下降,但不久群体数量又回升,需再次施药。一种药剂连续多从使用,易诱发抗药性。因此,最好选用对卵、幼若螨、成螨都有效的杀螨剂。(一般为多种产品的复配)。
2. 选在害螨对药剂最敏感的生育期施药。例如,四螨嗪对卵杀伤力很强,对幼螨和若螨也较强,对成螨基本无效,就应在卵盛期、幼螨期施药。唑螨酯和苯丁锡对螨卵效果很低或基本无效,不应在卵盛期施药。
3. 选在害螨发生初期,种群数量不大时施药,以延长药剂对螨的控制时间,减少使用次数。持效期长的杀螨剂品种,1年内尽可能只使用1次。
4. 不可随意提高用药量或药液浓度,以保持害螨群中有较多的敏感个体,延缓抗药性的产生和发展。
5. 不同杀螨机制的杀螨剂轮换使用或混合使用。哒螨灵和噻螨酮无交互抗性,可以轮换使用。双甲脒、单甲脒与其他杀螨剂的作用机制不同,可以混用或轮用。
全球杀螨剂市场中,日本和美国的市场占比较高。近几年,南欧和拉美的市场份额也在增加,其产品主要用于果树、棉花和蔬菜上的螨害防治,果树中尤以柑橘和葡萄用量最大,但用在棉花上的杀螨剂产能过剩,价格下滑较多。目前发展中国家用于果树的杀螨剂市场在大幅提升。影响杀螨剂市场的主要因素是抗性的发展和新产品的上市,这两个因素能够改变市场的产品结构,也说明了市场对于杀螨剂新产品更新换代的迫切需求。目前主要更新换代的杀螨剂为螺螨酯,螺虫乙酯等一系列产品。
截止到2018年12月,全国杀螨剂农药登记共有1065项,分为124种,其中化学杀螨剂121种,占杀螨剂种类的97.58%;生物杀螨剂3种(苦参碱2个,鱼藤酮1个,阿维菌素55个),仅占2.42%。
数量方面,炔螨特第一(154),哒螨灵第二(121),三唑锡第三(105),阿维菌素第四(55)。阿维菌素复配药剂有18种,包括阿维·哒螨灵(46),阿维·矿物油(16),阿维·高氯(15)。
从应用对象看,柑橘红蜘蛛占66.67%,排名第一,苹果红蜘蛛占22.84%,排名第二,苹果二斑叶螨占3.7%,排名第三。
近年来,由于种植结构的变化,经济作物尤其是果树的种植面积迅速扩大(广西每年柑橘种植面积增长近百万亩,杀螨剂市场也随着果树等经济作物扩种而增加。预计未来杀螨剂方面的表现是不错的,老品种杀螨剂(哒螨灵、噻螨酮等)用量变化较小,炔螨特、唑螨酯和四螨嗪持续火热,新型杀螨剂(联苯肼酯、乙螨唑、藜芦碱等)和晶体石硫合剂、松脂酸钠用量可能会增加。矿物油用量肯定会增加,这与矿物油的适用范围和杀螨效果有关。矿物油虫螨病兼杀,物理机制杀虫(窒息而死),不会产生抗药性,并且有效防治青苔、煤烟病等病害,光洁叶面,持续保护叶面。同时,优质的矿物油具有良好的铺展性和渗透性,可作为助剂,起增效作用,可增强肥效或农药防治效果,近年来矿物油市场也是逐年增加。随着螺虫乙酯市场的逐步放开,其也会为杀螨剂市场输入新的活力。螺螨酯(spirodiclofen)是拜耳公司研制并开发的第1个螺环季酮酸类杀螨剂,由拜耳公司于20世纪90年代在筛选除草剂的基础上发现并开发的。其对白粉虱等刺吸口器害虫和害螨类高效。又称螨威多、螨危,其化学名称:3-(2,4-二氯苯基)-2-氧代-1-氧杂螺[4,5]-癸-3-烯4-基-2,2-二甲基丁酸酯。结构式如下:

螺螨酯具触杀作用,没有内吸性。对害螨的卵、幼螨、若螨具有良好的杀伤效果,对成螨无效,但具有抑制雌螨产卵孵化率的作用。螺螨酯与快速击倒的杀螨剂相比,药效较慢;与几丁质昆虫调节剂类杀螨剂相比,药效较快。螺螨酯持效期较长,主要用于与速效型杀螨剂配合使用。
螺螨酯与现有杀螨剂有着完全不同的作用机制,其作用机理为抑制螨的脂肪合成,阻断螨的能量代谢,对害螨除了成虫外的的各个发育阶段都有效,但对各个阶段作用效果不同。螺螨酯虽然不能较快杀死雌成螨, 但对雌成螨的繁殖有一定的抑制作用。由于其独特的作用机制,故与其他杀螨剂无交互抗性。靶标
螺螨酯广泛应用于果树及蔬菜上的红蜘蛛防治。其特点是杀螨谱广、适应性强。螺螨酯对红蜘蛛、黄蜘蛛、锈壁虱、茶黄螨、朱砂叶螨和二斑叶螨等均有很好防效,可用于柑桔、葡萄等果树和茄子、辣椒、番茄等茄科作物。另外,螺螨酯对梨木虱、榆蛎盾蚧以及叶蝉类等刺吸式口器害虫具有很好的兼治效果。
其使用方式式均匀喷雾,由于螺螨酯没有内吸性,通过触杀作用防治害螨的卵、幼若螨和雌成螨,没有内吸性,因此药剂兑水喷雾时,要尽可能喷雾均匀,确保药液喷施到叶片正反两面及果实表面,最大限度地发挥其药效。施用时间应保证在害螨为害前期施用,以便充分发挥螺螨酯持效期长的特点。
当红蜘蛛、黄蜘蛛的危害达到防治指标(每叶虫卵数达到10粒或每叶若虫3~4头)时,使用34%螺螨酯悬浮剂4000~5000倍(每瓶100毫升兑水800~1000市斤)均匀喷雾,可控制红蜘蛛、黄蜘蛛50天左右。此后,若遇红蜘蛛、黄蜘蛛虫口再度上升可使用一次速效性杀螨剂(如哒螨灵、克螨特、阿维菌素等)即可。
如红蜘蛛、黄蜘蛛发生较早达到防治指标时,先使用1~2次速效性杀螨剂(如哒螨灵、克螨特、阿维菌素等),5月上旬左右,使用34%螺螨酯悬浮剂4000~5000倍液(每瓶100毫升兑水800~1000市斤)喷施一次,可控制红蜘蛛、黄蜘蛛50天左右。
9-10月份红蜘蛛、黄蜘蛛虫口上升达到防治指标时,使用34%螺螨酯悬浮剂4000~5000倍液再喷施一次或根据螨害情况与其它药剂混用,即可控制到柑桔采收,直至冬季清园。需要注意的是,螺螨酯在柑桔生长季节内最好只施用一次,与其它不同杀螨机理的杀螨剂轮换使用,既能有效地防治抗性害螨,同时降低叶螨对螺螨酯产生抗性的风险。关于登记
截止到2022年12月,我国共有螺螨酯原药登记26条。


主要剂型有螺螨酯240g/L悬浮剂,螺螨酯34%悬浮剂,螺螨酯15%水乳剂等。其复配一般与阿维菌素,联苯肼酯,乙螨唑,哒螨灵等复配。
合成工艺
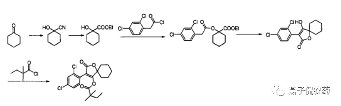
环己酮为起始原料,经氰基化、酯化、苯乙酰化、缩合和丁酰化制得螺螨酯原药

出口情况
据海关数据统计,我国2019年共出口螺螨酯481.2万美元。其中排名第一的进口国是土耳其,共计118.7万美元,第二是越南,共计56.37万美元,第三是秘鲁,共计47.7万美元,随后是智利,巴西,马来西亚,乌兹别克斯坦,埃及,俄罗斯,黎巴嫩等国分列第4-10位。
联苯肼酯(BIFENAZATE)是1990年由美国科聚亚公司研发,于2008年在我国登记的一种选择性叶面喷雾杀螨剂,无内吸性,主要用于防治果树、棉花、草莓、蔬菜、茶叶等作物叶螨和全爪螨,与目前其他杀螨剂没有交互抗性。
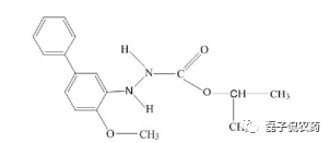
化学名称:3-(4-甲氧基联苯基-3-基)肼基甲酸异丙酯,纯品外观为白色固体结晶,结构式为:

联苯肼酯的作用方式独特,目前仍有待进一步研究。联苯肼酯的作用机理最初被认为是一类神经毒剂,对螨类的中枢神经传导系统的 γ-氨基丁酸(GABA)受体有独特作用,后来有研究表明联苯肼酯作用于螨类线粒体,抑制细胞色素 bQO 位点复合物Ⅲ的合成,还有学者认为联苯肼酯还可以对 GABA 门控的氯离子通道具有增效作用。虽然作用方式还不明确,但可以确定的是其只对螨类有效。
联苯肼酯无内吸性,对螨的各个生活阶段均有效,具有杀卵活性和对成螨的击倒活性。在推荐使用剂量范围内对作物安全。
风险
联苯肼酯是一种较新的杀螨剂产品,2012年中国的专利到期,对寄生蜂、捕食螨、草蛉低风险;对鸟中等毒性,低风险性。但是需要注意的是其对鱼类高毒,高风险性。使用时应远离鱼塘,禁止在水田使用。
靶标
主要用于防治苹果、 桃子、 葡萄、核果 、草莓和蛇麻草等作物上的害螨,对益螨及有益昆虫无害。但需要注意的是:其高效的害螨主要是二斑叶螨、皂荚红蜘蛛、苹果红蜘蛛、柑橘红蜘蛛、南方小爪螨、云杉小爪螨。但是对锈螨、扁平螨、广明螨等无效。
以防治苹果红蜘蛛为例,用480克/升悬浮剂2000~3000倍液喷雾,持效期14天左右。
在使用的过程中需要注意以下几点:
1. 联苯肼酯杀卵作用强,但速效性差应在虫口基数少时(生长季节早期)使用,虫口基数大时,需与速效性杀螨剂混用。
2. 联苯肼酯没有内吸性,为保证药效,喷药时应保证叶片两面及果实表面都均匀喷到。
3. 联苯肼酯建议间隔20天使用,每种作物每年至多施用次数4次,同时与其他作用机制杀螨剂交替使用。
4. 不推荐与有机磷、氨基甲酸酯混用。
在我国的登记情况
我国目前有联苯肼酯原药登记证9个。

国内的单剂型43%的悬浮剂为绝对的主流,其复配主流是与乙螨唑,螺螨酯,螺虫乙酯等兼顾速效性的杀螨剂复配。如:螺螨酯10%+联苯肼酯30%悬浮剂,乙螨唑15%+联苯肼酯30%悬浮剂。
近年来也有不少联苯肼酯微囊悬浮剂的相关研究,也是其未来剂型开发的趋势之一。
合成工艺
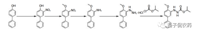
以 4-羟基联苯为起始原料,经硝化,甲氧基化,硝基还原,重氮化和酰胺化反应得到联苯肼酯目标产物。

其反应为在路易斯酸的催化下与偶氮二甲酸二异丙酯(DIAD)进行胺化反应, 但最后一步可以然后在酸性条件下进行选择性水解生成联苯肼酯,也可以在在碱性条件下进行选择性水解生成联苯肼酯。
由于其合成工艺较为复杂且不好拆分,故原药成本一直居高不下。
出口情况
联苯肼酯是名副其实的小众品种,2018年度我国共计出口联苯肼酯仅218.5万美元,其中最大的进口国家是美国,为38.4万美元,其次为土耳其。为29万美元,第三为约旦,为28.4万美元。韩国,新加坡,澳大利亚,沙特阿拉伯,以色列,格鲁吉亚,英国分列第4-10位。
乙螨唑(通用名:Etoxazole)是日本八洲化学公司1994年开发的新颖噁唑类杀螨剂。商品名为Baroque Flowable。它对蔬菜叶螨、柑桔叶螨、苹果叶螨、梨叶螨等各种叶螨具有卓著的杀卵、杀幼虫活性。其特点是持效期长,但速效性较差。
乙螨唑,化学名称为2-(2,6-二氟苯基)-4-[4-(1,1-二甲基乙基)-2-乙氧基苯基]-4,5-二氢噁唑,化学结构式为:

cas号153233-91-1,分子式C21H23F2NO2,相对分子质量359.4,熔点101.5℃,分解温度293.0℃,闪点457℃,密度1.150g/cm3,白色晶体粉末,微溶于水,易溶于乙腈、甲醇、乙醇、乙酸乙酯和丙酮。在碱性条件下稳定,对光不稳定,对酸不稳定。乙螨唑对蔬菜叶螨、柑桔叶螨、苹果叶螨、梨叶螨等各种叶螨具有卓著的杀卵、杀幼虫活性。该药剂速效性较差,但却具长時间的杀卵、杀幼、若虫效果,可抑制叶螨繁殖达1 个月以上。此药剂可在成虫期喷洒,从而使成虫所产卵不化,其主要通过抑制叶螨和蚜虫的蜕皮而致效。作用机理
属于苯甲酰基苯基脲类昆虫生长调节剂主要是通过克制昆虫表皮的形成,乙螨唑作用机理与此类似。乙螨唑是通过抑制昆虫成熟表皮的N-乙酰氨基葡萄糖(几丁质前体)的形成,达到杀螨目的,具有高选择性、高效、低毒和持续时间长等特性。很多杀螨剂主要是通过毒害神经和抑制呼吸而到达杀螨目的,如噻唑酮、氯菊酯,而乙螨唑的独特作用机理独特,与上述杀虫剂无交互抗性。
作物
乙螨唑主要用于主要用于柑橘、棉花、苹果、花卉、蔬菜等作物上的红蜘蛛防治。主要靶标害虫是柑橘叶螨、梨叶螨、二斑叶螨、神泽氏叶螨和苹果全爪螨等。属于内吸性杀螨剂,对螨卵、幼虫、若虫有效,但对成虫无效,但可影响成虫产卵的活性。有效时间长,可以使螨类一个多月不能繁殖。因此其最佳的防治时间是害螨危害初期。耐雨性强,持效期长达50天。
11%的乙螨唑悬浮剂兑水稀释5000~7500倍进行喷施。在害螨危害早期,可用乙螨唑兑水稀释3500倍后进行喷洒,对螨类的卵期、幼螨期和若螨期均有很好的防治效果,药效持效期可达50天左右,乙螨唑与阿维菌素复配合使用效果会更佳,而在棉花中后期和棉叶螨期有发生的,可使用乙螨唑或螺螨酯,期间可搭配阿维菌素进行防治。

单剂登记74个,主流剂型是乙螨唑110g/L悬浮剂,30%悬浮剂及20%悬浮剂。
复配登记为共77个,主流登记为:

合成工艺
采用氯乙醛缩二甲醇法:
间叔丁基苯酚为原料,制备间叔丁基苯乙醚。以 2,6-二氟苯甲酰胺,氯乙醛缩二甲醇为原料,制备酰胺缩醛。间叔丁基苯乙醚和酰胺缩醛反应合成氯代酰胺。氯代酰胺在碱的存在下环合生成乙螨唑。
出口情况
我国2019年共计出口乙螨唑628.8万美金(包含原药和制剂),其中最大的进口国为土耳其,为262万美金。第二名是美国,为192万美金,第三是智利,为53.8万美金,排名4-10的分别是越南,玻利维亚,秘鲁,黎巴嫩,泰国,巴西和印度。
值得一提的是出口量的96%均为乙螨唑原药。
哒螨灵( pyridaben) 为1985年日本日产化学公司所开发。又称速螨酮、达螨酮、牵牛星。1988年11月,日产化学工业株式会社在美国布赖顿作物保护会议上正式推出该产品,哒螨灵的化学名称为: 2-特丁基-5-( 4-特丁基苄硫基)-4-氯-3( 2H)-哒嗪酮,通用名称为 Pyridaben,结构式为:
作用原理
哒螨灵属于哒嗪酮类杀虫、杀螨剂,它触杀型极强,但是没有熏蒸、内吸和传导作用。它主要是抑制肌肉组织、神经组织和电子传递系统染色体I中谷氨酸脱氢酶的合成,从而发挥杀虫、杀螨作用。
防治谱及使用方法
哒螨灵属杂环类低毒杀虫、杀螨剂,杀螨谱广,其触杀性强,无内吸、传导和熏蒸作用 ,对所有食植性害螨都具有明显的防治效果,比如全爪螨、叶螨、合瘿螨、小爪螨等,而且在螨的不同的生长期都有效,例如在螨的卵期、若螨期、成螨期,在成螨的移动期也有防治效果。
在我国主要用于柑桔、苹果、梨、山楂等水果作物上,在蔬菜( 茄子除外) 、烟草、茶叶、棉花、及观赏植物上也可使用。哒螨灵广泛应用于果树害虫、害螨防治。但在出口的茶园中应控制使用。
在害螨发生期均可施用(为提高防治效果最好在平均每叶2~3头时使用),将20%可湿性粉剂或15%乳油对水稀释至50~70mg/L(2300~3000倍)喷雾。安全间隔期为15天,即在收获前15天停止用药。但文献显示实际持效期要在30天以上。
毒性
FAO/WTO 规定,哒螨灵人体允许摄入量为0.405mg /( kgod) ,属于低毒农药。哒螨灵蚯蚓LD50为3.84cm。哒螨灵对水生生物急性毒性值( μg /L) 如下: 蓝鳃96h的LC50为3.47; 虹鳟96 hLC50为0.73; 鲦鱼 96 hLC50为 2.3; 水蚤 96 hLC50为1.0; 糠虾 96 hLC50为 0.67; 牡蛎96 hLC50为8.27; 哒螨灵对斑马鱼的96 hLC50为1.166×0-2mg/L ,属于剧毒。
对水生生物剧毒,且对蜜蜂及家蚕也有影响。应用哒螨灵时,应远离水源及桑园,以防止鱼类和家蚕中毒。该药剂不能与碱性药剂混用。目前欧盟对我国出口茶叶中哒螨灵的最高残留限量标准制定得很严格,因此,出口茶园中应控制使用。
国内登记
截至2022年12月,我国共有哒螨灵原药登记11个。

哒螨灵制剂共登记380个,其中单剂152个,主要剂型为哒螨灵20%悬浮剂,哒螨灵20%可湿性粉剂和哒螨灵15%乳油。
复配制剂228个; 主要是和螺螨酯,阿维菌素和呋虫胺等复配。
从登记作物和防治对象看,哒螨灵主要登记在柑桔、苹果等作物上,防治对象主要为红蜘蛛类,其复配的登记对象还包括苹果蚜虫、水稻象甲、黄瓜蚜虫、温室粉虱、十字花科蔬菜黄条跳甲等。
合成工艺
目前主流的合成方法是二氯哒嗪酮法,其优势在于工艺收率较高,可达68%~78%,原粉含量可高达92%以上,三废少,几乎没有废水排放,废液可回收利用。
由特丁基肼盐酸盐与糠氯酸缩合制得二氯哒嗪酮; 由对特丁基卞氯与硫脲反应制得对叔丁基苄硫醇,再由二氯哒嗪酮与对叔丁基苄硫醇缩合制得哒嗪酮。

出口情况
2019年我国共出口哒螨灵(原药,制剂)共计754万美元,其中泰国为最大的进口过,为155.5万美元,土耳其为144万美元,越南为116万美元,埃及,伊拉克,也门,约旦,秘鲁,韩国和印度尼西亚分列第4-10位。
其中原药出口量为353.9万美金,制剂为401万美金。
来源:磊子侃农药