我国自主创制的杀菌剂——丁香菌酯,未来将会焕发出更大的市场活力
| 来源:农化专利网 |
|
发布时间:2023-08-18 08:54 |
|
简述
引言甲氧基丙烯酸酯类杀菌剂是全球杀菌剂的一大种类,而大多数甲氧基丙烯酸类酯类杀菌剂例如嘧菌酯、醚菌酯、吡唑醚菌酯、肟菌酯等基本都由国外研制。作为甲氧基丙烯酸酯类杀菌剂的一员,丁香菌酯是由我国沈阳化工研究院基于“中间体衍生化”法创制的一款新型杀菌剂。
甲氧基丙烯酸酯类杀菌剂是全球杀菌剂的一大种类,而大多数甲氧基丙烯酸类酯类杀菌剂例如嘧菌酯、醚菌酯、吡唑醚菌酯、肟菌酯等基本都由国外研制。作为甲氧基丙烯酸酯类杀菌剂的一员,丁香菌酯是由我国沈阳化工研究院基于“中间体衍生化”法创制的一款新型杀菌剂。
与国外创制的同类杀菌剂不同,丁香菌酯除了含有丙烯菌酯结构外,还引入了一个香豆素结构。香豆素本身就具有防治真菌、细菌、病毒的能力,还具有一定的杀虫、除草活性,通过和丙烯酸酯基团组合,构成丁香菌酯,既可发挥多重效能,又可降低抗性风险。
丁香菌酯试验代号:SYP-3375,通用名称 :Coumoxystrobin,化学名称:N-甲氧基-N-{2-[(3,5,6-三氯-2-吡啶氧基)甲基]苯基}甲酸甲酯,CAS登录号:850881-70-8,分子式:C26H28O6,相对分子质量:436.5.其结构式如下。

图1 丁香菌酯分子结构式
丁香菌酯主要通过抑制细胞色素b和c之间的电子传递,进而抑制线粒体的呼吸作用,阻止ATP合成,使真菌缺乏能量供应,逐渐丧失侵染能力,最终达到抑菌作用。另外,丁香菌酯还具有一定的防御和免疫作用,面对病菌入侵,一方面它能干扰病菌的特异性识别功能,阻止入侵,另一方面,它能启动作物应激反应,加强作物自身的抑菌系统、提高作物修复能力、活化作物抗病基因,从而加强作物对病菌的免疫能力。
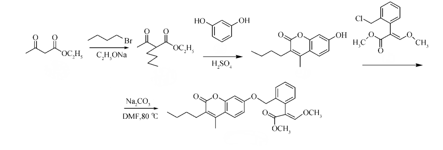
丁香菌酯是利用“基于生物等排理论的中间体衍生化方法”将香豆素结构引入到甲氧基丙烯酸酯类结构中,得到的新型甲氧基丙烯酸酯类化合物,其合成方法较简单,原料易得,成本低,较易实现工业化生产,具体合成线路如下图。

图2 丁香菌酯合成方法
丁香菌酯已获中、美、欧、日等多国发明专利,经检索与丁香菌酯相关的研究与组合物专利有300余件。在中国的专利名称:具有杀虫、杀菌活性的苯并吡喃酮类化合物及制备与应用,专利号:CN 1616448,专利申请日:2003-11-11,专利拥有者:沈阳化工研究院有限公司。
在其他国家申请的化合物专利EP 1683792、JP 2007510674、US 20070037876、WO 2005044813。工艺专利:CN 103030598、WO 2005044813等。
丁香菌酯2010年获批国家农业部新农药登记,专利转让给企业,实现了产业化,目前在国内有5个登记证,其中包含1个原药、2个单剂悬浮剂和2个二元复配。
丁香菌酯与戊唑醇的复配登记用于防治苹果树褐斑病、小麦纹枯病、玉米大斑病,与代森联的复配登记用于防治柑橘疮痂病。其单剂登记用于防治苹果树腐烂病、黄瓜霜霉病,防治苹果树腐烂病的施用方式为涂抹。

丁香菌酯作为我国自主创制的一款甲氧基丙烯酸酯类杀菌剂,其结构新颖,由香豆素和甲氧基丙烯酸酯两个天然基团组成,仅含碳、氢、氧3种元素,合成过程中不涉及有害原料或中间体,符合农药绿色发展的趋势。另外,丁香菌酯对由鞭毛菌、接合菌、子囊菌、担子菌及半知菌引起的多种植物病害均可发挥一定的抑制作用,综合性能不逊于同类杀菌剂产品。在苹果生产管理中,丁香菌酯可促进苹果果皮受损细胞的恢复和表皮下细胞的分裂,提高苹果表光,减轻果锈发生,有较大的市场推广空间。随着其专利的到期,丁香菌酯及其复配产品的进一步研发,未来其市场潜力也将被进一步挖掘,焕发出更大的市场活力。