氟嘧菌酯通用名称为 luoxastrobin,商品名称为 Fandango,化学名称是{2〔- 6(- 2-氯苯氧基)-5-氟嘧啶-4-基氧〕苯基}(5,6-二氢-1,4,2-二嗪- 3-基)甲酮O-甲基肟,由拜耳公司1994年开发。2004年上市的甲氧基丙烯酸酯类内吸性茎叶处理用杀菌剂品种。

分子式:C21H16ClFN4O5;相对分子质量:458.8;CAS登录号:[361377-29-9] (E-体),[193740-76-0] (E-体和Z-体的混合物);开发代号:HEC 5725、BAY HEC 5725。
氟嘧菌酯于1998年1月申请专利,2017年1月专利到期。
与其他甲氧基丙烯酸酯类杀菌剂类似,氟嘧菌酯为线粒体呼吸作用抑制剂,它通过结合于bc1复合物Ⅲ中细胞色素b的Qo位点,阻止bc1间的电子传递,从而通过阻止细胞所需能量(ATP)的产生而干扰真菌内的能量循环,最终导致细胞死亡。
其对作物的选择性部分源自作物体内酶的脱酯化作用,该药剂不会达到动植物的线粒体,对作物安全。
氟嘧菌酯作为一种甲氧基丙烯酸酯类杀菌剂,对几乎所有真菌纲病害如锈病、颖祜病、网斑病、白粉病、霜霉病等数十种病害均有很好的活性,广泛应用于禾谷类作物、马铃薯、蔬菜和咖啡等作物。
氟嘧菌酯对咖啡锈病、马铃薯早疫病和蔬菜叶斑病具有优异防效。它对小麦叶部病害,尤其对小麦叶枯病也有很好的防治效果。另外一方面,氟嘧菌酯还拥有突出的植物健康作用。该产品主要通过影响植物体内的多种生理学过程来延缓植物衰老,使植株更绿,灌浆更充分;增强作物对恶劣环境的抵抗,保持健康生长;改善作物品质,增加作物产量。这些对植物生理学过程的影响包括:减少乙烯的生成、增加碳的同化作用的效率、增加固氮作用、增加水的利用率、改善对养分的吸收和利用率。
其优势在于优异的传导性,喷施叶片上后可向顶传导,对孢子萌发和菌丝生长均有抑制作用。相同条件下,氟嘧菌酯在叶片渗透、跨层传导和木质部传导等性能上要优于嘧菌酯、肟菌酯和吡唑醚菌酯等同类产品。
大鼠急性经口LD50>2500mg/kg,大鼠急性经皮LD50>2000mg/kg。
对兔眼睛有刺激作用,对兔皮肤无刺激作用,对豚鼠皮肤无致敏作用。对大鼠或兔未发现胚胎毒性、繁殖毒性和致畸作用,无致癌作用和神经毒性。鹌鹑经口LD50>2000mg/kg,鳟鱼LC50>0.44mg/L (96h), 水蚤EC500.48mg/L(48h),蚯蚓LC50>1000mg/kg土, 蜜蜂LD50>843 μg/只。
目前国内只有拜耳登记有氟嘧菌酯原药,爱利思达登记有氟嘧菌酯18%+戊唑醇25%SC,登记作物为黄瓜白粉病。百菌清46.4%+氟嘧菌酯4.6%SC,登记作物为番茄晚疫病和黄瓜霜霉病。

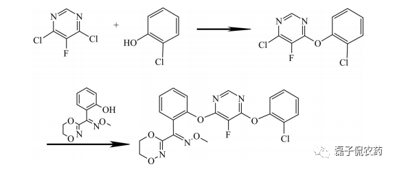
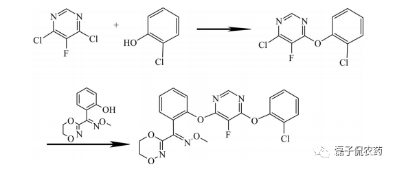
氟嘧菌酯主要由两个中间体3,5-二氯-4-氟嘧啶和 3-[1-(2-羟基苯基)-1-(甲氧亚氨基)-甲 基]-5,6-二氢-1,4,2-二噁嗪合成,其合成路线主要有以下2种方法:
方法一:3,5-二氯-4-氟嘧啶与邻氯苯酚反应得到4-氯-6(2-氯苯氧基)-5-氟嘧啶,然后与中间体3[- 1(- 2-羟基苯基)-1(-甲氧亚氨基)-甲基]-5,6-二氢-1,4,2-二噁嗪得到氟嘧菌酯。

方法二:中间体3-[1-(2-羟基苯基)-1-(甲氧亚氨基)-甲基]-5,6-二氢-1,4,2-二噁嗪(2)与邻氯苯酚反应得到[2-(6-氯-5-氟嘧啶-4-氧基)-苯基]-(5,6-二氢-[1,4,2]-二噁嗪-3-基)甲酮 O-甲氧基肟,然后与3,5-二氯-4-氟嘧啶反应得到目的产物氟嘧菌酯。

氟嘧菌酯相较于嘧菌酯和吡唑醚菌酯具有更好的传导性植物体内传导性,其施药效果明显好于同类型甲氧基丙烯酸酯类产品。其与吡唑醚菌酯类似,同样具有植物保健的作用。需要注意的是合理复配提高其杀菌效率以及延缓抗性的产生。
作为刚过专利期的甲氧基丙烯酸酯类的后继产品,其在咖啡上的使用使其独具特色也是其在非洲,南美,东南亚等咖啡种植区推广的优势。(来源:磊子侃农药)
参考文献:
1.杀菌剂氟嘧菌酯的合成 郑怡倩等 武汉工程大学学报 2018年
2.氟嘧菌酯2017年1月专利到期,其市场竞争将更加激烈 柏亚罗 2017年