新农药的开发和利用有利于农业增产增收和可持续发展,是各国农药产业发展的主要方向。开发骨架新颖、环境友好、对非靶标生物毒性低的候选农药分子,已经成为当前农药化学研究的热点。活性片段是化学药物结构的关键组成部分,寻找有效活性片段,利用中间体衍生化法中的替换法与衍生法进行新农药创制,有利于农药产品创新以及降低研发成本。在众多活性片段中,三氟甲基吡啶(TFMP;图式1)表现出了优良、广泛且特异的生物活性,近年来受到广泛关注。

图式1 三氟甲基吡啶 (TFMP)
在新农药创制领域,过去20年推出的农药中有50%以上结构含有氟元素。此外,目前市场上的含氟农药中约有40%含三氟甲基(CF3)结构,这使含氟农药成为含氟化合物的一个重要亚群。氟原子的电负性最大,分子中引入氟原子之后,会使整个分子的电子分布、偶极距以及含氟基团邻位基团的酸碱性发生显著变化。同时,由于氟原子原子半径小,当有机化合物中的氢原子被氟原子取代后,体积变化不大,因而不易被生物体内的酶所识别,容易替代非氟母体进入生物体的代谢过程。三氟甲基等含氟官能团的引入可以增加分子的脂溶性,改善药物的吸收、分布、代谢和排泄等性质。而吡啶在药物分子设计中作为苯环的电子等排体被频繁使用,通过吡啶等排替代苯环结构,往往能够使药物分子获得更加出色的生物活性。
TFMP片段结构多见于除草剂和杀菌剂中,国内外利用TFMP片段对现有农药结构进行替换与衍生,已经发现了许多含有TFMP片段的具有良好农业生物活性的新分子。1.1 含TFMP结构农药的发展与创制
最早的TFMP结构农药可以追溯到20世纪70年代,实验人员以禾草灵作为先导化合物,将2,4-二氯苯基片段更换为三氟甲基在吡啶,同时通过手性分离与酯键的修饰与水解,开发了一系列活性更好的衍生物(图式2)。Clemens认为,用TFMP结构替代禾草灵的2,4-二氯苯基可以增加化合物转移到目标杂草的植物组织中的能力。
图式2 禾草灵的结构修饰
截止目前,ISO公布通用名的含TFMP结构的农药共有30余种,它们的结构及基本信息如表1所示。其中,有20种农药三氟甲基在吡啶的β位(β-TFMP),8种采用了α-TFMP结构,而仅有3种采用了γ-TFMP构型。近年来,新的TFMP结构农药不断涌现,其中β-TFMP构型仍占据了绝大多数。Burriss等认为,这可能是因为β-TFMP构型化合物开发较早,其中间体生产规模大、价格低,且β-TFMP结构中间体更容易转化为最终的活性成分。此外,由于三氟甲基的吸电子特性,其位置对化合物的碱性有显著影响,其中β-TFMP与γ-TFMP的pKa值相当(2.8与2.9),而α位引入三氟甲基会使吡啶氮的碱性显著增大(pKa=0.6),这可能会影响化合物在生命体的代谢和吸收。
表1 含TFMP结构农药基本信息


TFMP 结构农药普遍具有结构新颖、低毒高效等优点,因此新的活性化合物不断涌现。近三年先正达公司获批的杀虫剂氟吡啶虫酯和杀菌剂三氟吡啶胺均含有TFMP片段。
氟吡啶虫酯早期由英国帝国化学工业公司作为杀菌剂开发,结构来源于嘧菌酯与另一款含TFMP结构农药啶氧菌酯(图式3),对大麦白粉病、苹果疮痂病、藤本植物霜霉病和番茄晚疫病具有优异的防治效果,同时对小麦叶锈病和水稻稻瘟病也有不同程度的预防作用。除良好的杀菌效果外,氟吡啶虫酯还拥有优异的杀虫活性,是第一款甲氧基丙烯酸酯类杀虫剂。氟吡啶虫酯以5 mg/L(乙醇溶液)处理埃及伊蚊(Aedesaegypti)与斯氏按蚊(Anophelesstephensi)的致死率均达到100%,优于DDT和高效氯氟氰菊酯,其作用机制与嘧菌酯、啶氧菌酯等相同,均通过抑制线粒体呼吸作用以达到抑菌效果。此外,研究还发现氟吡啶虫酯与4-三氟甲基烟酰胺(TFNA-AM)有协同增效作用。
图式3 氟吡啶虫酯的创制思路
三氟吡啶胺是新一代琥珀酸脱氢酶抑制剂(SDHIs)类杀菌剂、杀线虫剂,具有高效、内吸性适中与土壤持效期长三大特点。三氟吡啶胺可以通过干扰呼吸电子传递链复合体Ⅱ上的三羧酸循环,抑制线粒体能量产生及病原菌生长,最终导致其死亡;还可以通过干扰呼吸作用,使线虫幼虫麻痹或抑制虫卵孵化。商品化SDHIs分子结构主要由三个部分组成,包括极性片段、酰胺链和疏水性的尾部(图式4)。研究发现,在SDHIs的极性片段引入含氟基团取代的含氮杂环,有利于提高生物活性,三氟吡啶胺在此基础上采用了新颖的吡啶酰胺(烟酰胺)结构,尾链为独特的环丁基结构,与氟吡菌酰胺相比,三氟吡啶胺在抑制藤仓镰刀菌(Fusarium fujikuroi)菌丝生长和孢子产生方面具有更好的活性。
图式4 SDHIs结构通式与三氟吡啶胺
1.2 含TFMP结构农药新靶点探索
随着研究的深入,TFMP结构农药具有开发潜力的新靶点和作用机制逐渐被发现。Qiao等发现杀虫剂氟啶虫酰胺在代谢过程中产生的4-三氟甲基烟酰胺与害虫体内的烟酰胺酶结合,使害虫体内大量积累烟酰胺,从而过度激活TRPV离子通道产生中毒症状,最终致害虫死亡。烟酰胺酶是目前已知的第9个存在于昆虫神经系统的杀虫剂分子靶标,其在昆虫体内、线虫和病原菌中都具有重要的生理功能。将烟酰胺酶作为新型TFMP结构杀虫剂和杀菌剂的相关靶点,为解决当前杀虫剂抗性问题,开发低毒高效的农药提供了新的思路。氟吡菌胺与我国自主研发的氟醚菌酰胺最初被归类为SDHIs杀菌剂,然而随后的研究表明,它们与其他SDHIs杀菌剂(如氟吡菌酰胺)不具有交叉抗性,其靶标一直存在争议。Toquin等用氟吡菌胺处理马铃薯晚疫病菌(Phytophthora infestans)后发现,一种与细胞骨架相关的蛋白质血影蛋白在孢子和菌丝中的分布发生了显著的变化,这种蛋白在维持膜完整性方面有重要的作用。据此,杀菌剂抗性委员会(FRAC)将氟吡菌胺和氟醚菌酰胺的作用机制编码为B5,抗性编码为#43,作用机制归为血影蛋白的离域作用。Tan等研究发现,氟吡菌胺能与辣椒疫霉(Phytophthora capsici)液泡H+-ATP酶亚基a蛋白(VHA-a)特异性结合并抑制其活性,可以确定VHA-a为氟吡菌胺的靶点。同时研究人员发现荔枝霜疫霉菌(Phytophthora litchii)VHA-a中两个位点的突变会引起对氟醚菌酰胺的抗性,证明氟醚菌酰胺靶点也与VHA-a相关。
VHA-a是一种ATP依赖的质子泵,负责将细胞质H+泵入液泡,其抑制会影响真菌液泡的酸化、细胞内pH的调节以及分子跨膜的转运,进而影响真菌的生存能力。VHA-a的发现对后续进一步开展氟吡菌胺化学结构优化改造以及靶向农药的设计提供了重要的理论支撑。2.1 含TFMP结构除草活性分子
Matthew等发现化合物1(见图式5)是一种能够延缓水芹(Oenanthe javanica)根系发育的纤维素生物合成抑制剂,在光照条件下施用该化合物还会使水芹出现类似于八氢番茄红素脱氢酶(PDS)抑制剂的漂白现象,但在黑暗中不会。进一步研究发现,在光照条件下,化合物1对家独行菜(Lepidium sativum)体内PDS的抑制效果与PDS抑制剂氟草敏相当。LC-MS检测结果显示,在300-340 nm的光照条件下,化合物1可能会发生环化反应,形成新的结构1a~1c(图式5),而1a-1c结构对PDS有抑制作用,这种本体化合物与其自身代谢产物除草靶点不同的现象十分独特,化合物1可被视为一种具有重要价值的先导化合物。
图式5 化合物1与其光照下的环化产物
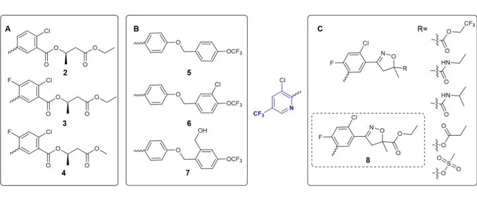
化合物2~4为一类有手性的芳基吡啶甲酸酯类除草剂分子(图式6A),在250 g/hm2条件下对长芒苋(Amaranthus palmeri)、黑麦草(Lolium perenne)、白苞猩猩草(Euphorbia heterophylla)、大狗尾草(Setaria faberi)与马唐(Digitaria sanguinalis)等杂草前与芽后防效均达到100%,对牛筋草(Eleusine indica)、马唐发芽后防效亦达到100%,这些分子对抗草甘膦或乙酰乳酸合酶(ALS)抑制类除草剂的长芒苋与白苞猩猩草等均表现出优异的活性。
Cai等将活性片段(三氟甲基苯醚)结构与TFMP片段结合,合成的化合物对原卟啉原氧化酶(PPO)有抑制作用,化合物5~7(图式6B)在37.5 g/hm2下,对双子叶杂草苘麻(Abutilon theophrasti)和反枝苋(Amaranthus retroflexus)芽前防效达100%,活性高于PPO抑制剂氟磺胺草醚,其中,化合物5还对鳢肠(Eclipta prostrate)以及单子叶杂草马唐、狗尾草(Setaria viridis)等杂草防效大于80%。
禧沅峰生物科技有限公司开发了一系列含噁唑环的衍生结构(图式6C),在200 g/hm2剂量下,系列化合物在苗前、苗后对苘麻、狗尾草、稗草(Echinochloacrusgalli)、百日草(Zinnia elegans)等防效均大于70%,其中,化合物8活性最优,在500 g/hm2剂量下针对十余种杂草防效均达到了100%,与商品化的苯嘧磺草胺、41%草甘膦异丙胺盐制剂活性相当。
图式6 新型含3-氯-5-三氟甲基吡啶结构的除草剂分子
Zhao等将TFMP结构引入PPO抑制剂的二苯醚结构,设计了一系列化合物(图式7),均有不错的酶活性,其中,化合物9~13对PPO的IC50值均小于同样含有二苯醚结构的PPO抑制剂乙氧氟草醚(0.054 mg/L),仅为 0.013、0.019、0.027、0.043以及0.032 mg/L。化合物14,IC50值为0.058 mg/L,与乙氧氟草醚相当。Zhao等研究发现,引入TFMP片段后增加了对PPO的抑制活性,并且不同位置的CF3取代基对分子活性影响较大,6-CF3的化合物15对PPO的IC50值为0.047 μmol/L,远小于乙氧氟草醚(0.150 μmol/L),而4-CF3的化合物16的IC50值为0.182 μmol/L,比乙氧氟草醚稍差,5-CF3的化合物17 的IC50值为0.444 μmol/L,3-CF3的化合物18活性最差,IC50值为0.740 μmol/L。
图式7 含TFMP结构PPO抑制剂分子
Fu等设计的一系列对羟基苯基丙酮酸双氧化酶(HPPD)抑制剂分子中(图式8),发现含TFMP结构化合物也对HPPD有一定抑制作用。实验表明,当吡啶环上的三氟甲基等吸电子基与羰基在对位时化合物活性较好,化合物19与20对HPPD的IC50值为0.791 μmol/L与0.961 μmol/L,与三酮类HPPD抑制剂硝磺草酮(IC50=0.231 μmol/L)相当。
图式8 含TFMP结构HPPD抑制剂分子
Chen等基于氟吡乙禾灵的结构改良过程中,通过骨架跃迁,引入苯并噻唑基团替代了原本的二芳基醚结构后,发现了一类具有除草活性的新型结构,其中,化合物21活性最佳,在75 g/hm2的条件下对反枝苋、苘麻与马齿苋的防效均为100%。
图式9 化合物21的分子设计策略
2.2 含TFMP结构杀菌、抗病毒活性分子
Guo等研究了含有硫醚、亚砜或磺基结构的三氟甲基吡啶酰胺衍生物(图式10)的合成及其生物学评价,并讨论了这些新型三氟甲基吡啶酰胺衍生物的主要构效关系。其中,含硫醚结构的化合物22-29对烟草青叶枯病菌(Ralstonia solanacearum)的EC50值在40-73 mg/L之间,远低于常用广谱杀菌剂噻菌铜(87 mg/L)和叶枯唑(124 mg/L)。但这些含硫醚结构的化合物对水稻白叶枯病菌(Xanthomonas oryzae pv.Oryzae)活性很差,基本不足20%,研究发现,随着硫原子氧化态的升高,亚砜与磺基结构的对水稻白叶枯病菌活性显著提高,化合物31在100 mg/L下对水稻白叶枯病菌的EC50值为83 mg/L,低于噻菌铜(97 mg/L)与叶枯唑(112 mg/L)。此外,研究人员还对各结构化合物进行了杀虫活性的研究,在500 mg/L下,化合物23、28与30对小菜蛾有中等活性,致死率分别为75%、70%与75%。
图式10 含TFMP结构含硫农用杀菌活性分子
代阿丽等开发了一系列N-氰基化合物(图式11),化合物32~36在200 mg/L下对水稻白叶枯病菌的抑制率均在80%以上,均高于噻菌铜(79.9%),但低于叶枯唑(95.6%),对柑橘溃疡病菌(Xanthomonas axonopodis pv. Citri)的抑制活性在40%以上,高于噻菌铜(35.4%),但远低于叶枯唑(88.2%)。化合物37与38对柑橘溃疡病菌的抑制率分别为 67%和69%,高于防治溃疡病的中生菌素(52%)。化合物37与39在浓度为500 mg/L时表现出中等杀虫活性,对小菜蛾致死率分别为77%和70%。
图式11 TFMP结构N-氰基化合物
Yu等开发了一系列含TFMP的1,3,4-噁二唑衍生物(图式12),其中化合物40对烟草青叶枯菌EC50值为26.2 mg/L,化合物41对烟草青叶枯菌EC50值为26.3 mg/L,而噻菌铜对烟草青叶枯菌的EC50值为97.2 mg/L。除了对烟草青枯病菌优异的活性,化合物40对柑橘溃疡病菌的EC50值为10.1 mg/L,优于噻菌铜的35.3 mg/L,而化合物41对水稻白叶枯病菌EC50值为12.7 mg/L,优于噻菌铜的57.2 mg/L。
He等开发的杀菌剂化合物42~45(图式12),42对水稻白叶枯病菌的EC50值为54.1 mg/L,优于叶枯唑(EC50=59.6 mg/L)与噻菌铜(EC50=86.3 mg/L),而化合物43(EC50=51.2 mg/L)与化合物44(EC50=60.7 mg/L)对柑橘溃疡病菌效果优异,EC50低于噻菌铜的101.7 mg/L与叶枯唑的76.3 mg/L,不仅如此,在500 mg/L下,化合物45除杀菌活性外对小菜蛾有中等活性,致死率为60%。
孙鑫鹏等以氟吡菌酰胺为先导化合物,改造后的化合物46与47有中等抑菌活性,化合物46对苹果轮纹病菌(Botryosphaeria berengriana)的抑制率为53.6%,对油菜菌核病菌(Sclerotinia sclerotiorum)的抑制率为56.1%,化合物47对苹果轮纹病菌的抑制率为48.2%,对小麦赤霉病菌(Gibberella zeae)的抑制率为42.9%(图式12)。
图式12 化合物40~47的结构
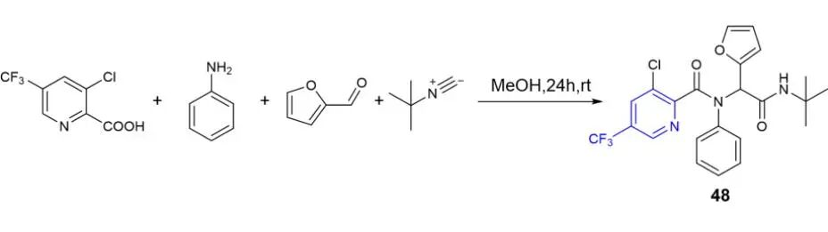
张葵等基于Ugi反应,设计了一系列含烟酰胺结构分子(图式13),相比传统TFMP衍生物的合成,Ugi反应方法合成操作简单,原子经济性好,条件温和,化学选择性高。化合物48在50 mg/L下对油菜菌核病菌的抑制率为90.7%,高于烟酰胺类杀菌剂啶酰菌胺的84.5%。
图式13 化合物48的合成路线
TFMP结构在植物抗病毒领域也有广泛的应用。在将TFMP引入邻氨基苯甲酸二酰胺结构的基础上,Guo等设计合成了包括化合物49~51的一系列化合物,Xu等将该系列化合物氧原子替换为硫原子,设计合成了化合物52(图式14A),化合物49~52对烟草花叶病毒均具有良好的抑制活性,在500 μmol/L下对烟草花叶病毒的治疗活性在54.2~59.0%之间,优于可防治烟草花叶病的宁南霉素(48.5%)。
Wang等将邻氨基苯甲酸亚结构与TFMP拼接,并在末端引入酰肼尾链(图式14B),测定发现在500 μmol/L下,化合物53与54对烟草花叶病毒的治疗活性优异,为79.5%与70.0%,远高于宁南霉素(55.0%),化合物55对烟草花叶病毒灭活活性优异,有90.0%,高于宁南霉素(57.6%),化合物56保护活性优异,达62.0%,与宁南霉素(88.1%)相当。
Zhang等设计并合成了两个系列的三氟甲基吡啶哌嗪衍生物(图式14C和D),是发展植物抗病毒农药的重要中间体。化合物57~60对烟草花叶病毒的治疗活性、保护活性与灭活活性均高于宁南霉素。其中,化合物58能提高超氧化物歧化酶、PPO和苯丙氨酸氨化酶的防御酶活性,激活苯丙素生物合成途径,增强烟草的抗病毒活性,对烟草花叶病毒(EC50= 18.4 mg/L)和黄瓜花叶病毒(EC50= 347.8 mg/L)均有优秀的保护活性。化合物61~63对烟草花叶病毒同样各类活性均高于宁南霉素,其中化合物63的EC50为73.9 mg/L,远高于宁南霉素(314.7 mg/L)。
图式14 含TFMP结构植物抗病毒活性分子
2.3含TFMP结构杀虫活性分子
Wu等基于氯虫苯甲酰胺分子进行改进(图式15),在吡啶环上引入了三氟甲基结构,同时用吡咯环替换咪唑环,合成了以N-芳基吡咯双酰胺为骨架的TFMP结构化合物64。化合物64对小菜蛾(Plutella xylostella)具有优良的杀虫活性,在5 mg/L条件下致死率就可达到100%,和氯虫苯甲酰胺相当。
图式15 氯虫苯甲酰胺与化合物64
Xu等设计了一系列含有TFMP骨架的新型双胺衍生物(图式16),测定发现在100 mg/L条件下,化合物64~66对小菜蛾致死率分别为100%、93.3%、96.3%,在500 mg/L条件下化合物65~67对棉铃虫(Helicoverpa armigera)致死率分别为95.8%、91.7%与87.5%。
图式16 TFMP骨架的新型双胺衍生物
对于作用机理新颖的含TFMP结构杀虫剂三氟甲吡醚来说,其衍生物潜力巨大。Zhou等对啶虫丙醚结构进行衍生化研究,在吡啶环上引入叠氮化物并修饰烷烃部分(图式17),优化后的化合物68~70在100 mg/L条件下对小菜蛾的杀虫活性均达到100%。特别是化合物70的LC50值为0.83 mg/L,远小于啶虫丙醚的LC50值(2.02 mg/L)。此外,化合物70具有较宽的杀虫谱,在10 mg/L下对东方粘虫(Mythimnaseparata)、二化螟(Chilo suppressalis)、亚洲玉米螟(Ostrinia furnacalis)等鳞翅类有90%以上的杀虫活性。
图式17 三氟甲吡醚与衍生化合物
Luo等设计并合成了一系列具有手性硫醚的TFMP分子(图式18),其中,化合物71~73对小菜蛾的LC50分别为7.3、8.7和8.1 mg/L,远低于广谱杀虫剂毒死蜱(24.3 mg/L)其中,化合物71除了对小菜蛾优异的活性外,对玉米螟(Ostrinia nubilalis)与粘虫(Pseudaletia separata)也有不错的活性,LC50值分别为21.7和44.2 mg/L。除了具有优秀的杀虫活性,化合物73还具有抗病毒活性,对烟草花叶病毒的治疗活性达63.6%,EC50=203.0 mg/L,远小于宁南霉素(治疗活性56.2%,EC50= 361.4 mg/L)。
图式18 化合物71~73的结构
Wang等利用中间体衍生化法,选择苯氧吡啶作为中间体,引入嘧啶基团,设计了一系列用于防治蚜虫的化合物,其中,化合物74(图式19)对桃蚜(Myzus persicae)的LC50值为0.34 mg/L,远低于蚜虫防治的常用杀虫剂吡蚜酮(0.60 mg/L)与嘧虫胺(1.23 mg/L)。Lan等同样将嘧啶胺类结构与TFMP进行活性亚结构拼接,获得的化合物75(图式19)对蚕豆蚜(Aphis fabae)LC50值为1.46 mg/L,优于另一款防治蚜虫的杀虫剂螺虫乙酯(2.45 mg/L)。
图式19 引入嘧啶基团的TFMP衍生物
含γ-TFMP结构的农用活性分子较少,针对这一点,Gad等设计合成了一类γ-TFMP并噻吩环化合物,化合物76(图式20)对棉蚜(Aphis gossypii)若虫的LC50值为0.046 mg/L,与广谱杀虫剂啶虫脒活性相当(LC50=0.035 mg/L),通过对棉蚜组织学研究发现,化合物76处理的蚜虫中肠、马氏管与滤室表现出明显的细胞坏死。

图式20 含有γ-TFMP并噻吩结构的化合物76
近年来的研究表明,将不同的活性基团引入已商品化农药骨架仍然是创制新农药最有效的方法之一。TFMP已被证明是一种很有前途的活性片段,其衍生物存在于各类作用机理的农药中,将TFMP片段引入化合物中,可以一定程度上影响化合物的理化性质,使化合物获得更好的生物活性,例如将TFMP片段引入PPO抑制剂与HPPD抑制剂现有骨架中同样获得了不错的活性(化合物9~20)。相信接下来会有更多活性骨架结构引入TFMP结构。
自第一类含TFMP结构的农药分子被报道以来,越来越多的具有生物活性的新分子被发现,但这些分子大部分主要围绕着β-TFMP构型展开,α-TFMP与γ-TFMP结构分子仍有巨大的开发空间与潜力。到目前为止,TFMP上三氟甲基的位置与生物活性之间的关系尚不清楚,其构效关系需要进一步研究。
氟吡菌胺与氟啶虫酰胺靶点的确定,可能会给TFMP结构农药注入新的活力,基于靶点的直接药物设计有望提出更多具有新颖结构的TFMP衍生物。目前很多TFMP结构活性结构分子,如三氟甲吡醚的靶点与作用机理仍尚不明确,有关TFMP结构分子的靶点研究还需要进一步的丰富。此外,TFMP结构在抗病毒活性方面的应用还在起步阶段就展示出了优异的活性(化合物49~63),其商业化潜力巨大。
通过将TFMP与其他活性亚结构结合的创制方式,通过骨架拼接,在TFMP中引入硫醚、磺酰、亚磺酰等含硫官能团,酰胺、酰肼、叠氮化物、哌嗪等含氮官能团,噁唑、噻唑、吡咯、嘧啶、噻吩等杂环官能团,涌现了一批又一批的活性化合物。这些工作为基于TFMP结构的新农药设计提供了良好的基础,相信未来会涌现出更多高效、低毒、环保的新型TFMP结构农药,为农业生产和食品安全提供更有效的保障。
作者:薄琳;叶非;于清锋;付颖