琥珀酸脱氢酶抑制剂(SDHI)类杀菌剂,具有活性高、选择性好、杀菌谱广、低毒高效,且可以提高作物的品质和产量等特点,在杀菌剂市场有较为广阔的前景。二氟甲基吡唑甲酰胺类化合物,属于SDHI类杀菌剂中重要一员,因二氟甲基取代基比三氟甲基取代基更能显著地提高有机化合物的生物活性,同时二氟取代基除了表现出氟原子的模拟效应、电子效应、渗透效应、阻碍效应以外,还表现在氢原子可以形成分子间氢键进一步增强药效。目前已上市的二氟甲基吡唑甲酰胺类SDHI杀菌剂已有9个,包括先正达先后推出的吡唑萘菌胺(isopyrazam)、氟唑环菌胺(sedaxane)、苯并烯氟菌唑(benzovindiflupyr)、氟唑菌酰羟胺(pydiflumetofen);巴斯夫公司的氟唑菌酰胺(fluxapyroxad);拜耳农作物公司的联苯吡菌胺(bixafen),富美实公司的氟茚唑菌胺(fluindapyr)[6];日本住友化学的inpyrfluxam;以及我国华中师范大学自主研发的氟苯醚酰胺(flubeneteram),见图1。

图1 3-二氟甲基-1-甲基-1H-吡唑-4-羧酸与下游SDHI杀菌剂
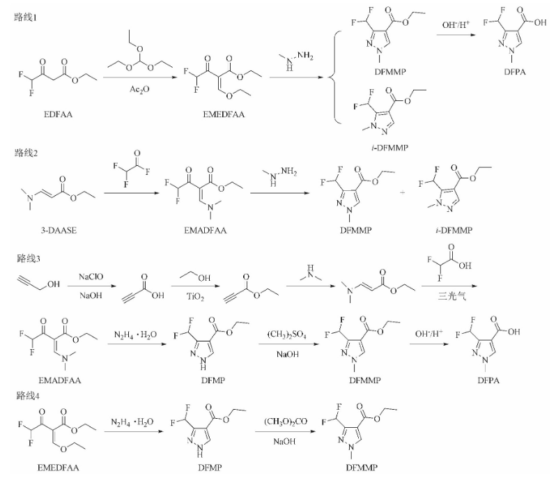
3-二氟甲基-1-甲基-1H-吡唑-4-羧酸(DFPA),作为合成上述二氟甲基吡唑甲酰胺类SDHI杀菌剂的关键中间体,已受到全球主要农化公司的关注。关于其合成方法的研究较多,其中4条较常见的合成路线见图2。

路线1:以4,4-二氟乙酰乙酸乙酯(EDFAA)为起始原料,与原甲酸三乙酯、乙酸酐经乙氧亚甲基化反应得到2-乙氧基亚甲基-4,4-二氟乙酰乙酸乙酯(EMEDFAA),再与甲基肼环合生成3-二氟甲基-1-甲基-1H-吡唑-4-羧酸乙酯(DFMMP),最后经水解、酸化得到目标化合物DFPA。该路线是目前工业生产中的主要路线。
其中,第1步乙氧亚甲基化反应,EDFAA与过量的原甲酸三乙酯(2倍量)在溶剂乙酸酐(4~7.5倍量)中回流反应,反应结束后,需要减压蒸除副产物乙醇及过量的原甲酸三乙酯和乙酸酐,同时回收物的分离需要较高的能耗,增加了生产成本。第2步EMEDFAA与甲基肼的环合反应,对终产品的质量和收率有重要影响,因为环合过程中,不可避免的会产生异构体5-二氟甲基-1-甲基-1H-吡唑-4-羧酸乙酯(i-DFMMP)。Wolf采用低温反应控制异构体比例,即EMEDFAA滴入-60℃的甲基肼与乙醇溶液中,所得异构比例9.8∶1,收率78%。Braun等采用无水甲基肼在溶剂1,1,1,3,3-五氟丁烷(S356)中与EMEDFAA进行环合反应,控制生成异构体比例,通过蒸馏或重结晶方式进行异构体分离提纯,所得异构比例为92∶2~85∶15,收率80%。以上方法,虽然能一定量的抑制异构体i-DFMMP的产生,但反应条件较为苛刻,异构体不易分离。
路线2: Pazenok等以3-(二甲基氨基)丙烯酸乙酯(3-DAASE)为起始原料,与二氟乙酰氟反应生成2-二氟乙酰基-3-(二甲基氨基)丙烯酸乙酯(EMADFAA),EMADFAA与甲基肼经环合反应生成DFMMP,与异构比例为91∶9,收率85%,该路线使用了不易制备的二氟乙酰氟,同时所得DFMMP中异构体占比较高,不适合工业化生产。
路线3:李利锋等以丙炔醇为起始原料,经次氯酸钠氧化、纳米级二氧化钛催化酯化、加成、取代、环合、甲基化,水解得目标化合物DFPA。该路线中,EMADFAA的制备步骤较长,且使用了剧毒试剂丙炔醇和监管试剂三光气;EMADFAA与水合肼环合后,再与硫酸二甲酯反应进行吡唑N-甲基化,使用了剧毒试剂硫酸二甲酯,增加了环境治理成本。Wang等以硫酸二甲酯为甲基化试剂,于甲苯-水两相溶剂体系中与DFMP反应,所得异构体比例为70∶30,收率为69%。
路线4:董燕敏以EMEDFAA为起始原料,与水合肼环合制备DFMP,再与碳酸二甲酯于碱性环境中经甲基化反应制备DFMMP,该方法后处理分层时间较长,不适合工业化生产。N,N-二甲基甲酰胺二甲缩醛(DMF-DMA)是一种具有较高反应活性的有机合成试剂,不仅被用于官能团转化,而且在合成杂环化合物时常作为重要合成子。DMF-DMA参与的反应大致分为作为甲酰化试剂和甲基化试剂,作为甲酰化试剂,能与活泼的亚甲基化合物生成烯胺化合物;作为甲基化试剂,可选择性的与酸性较强的胺基进行甲基化反应。
本文研究根据DMF-DMA以上特性,对路线1中乙氧亚甲基化反应进行了改进,采用DMF-DMA和甲苯替代了价格昂贵的原甲酸三乙酯和易制毒试剂乙酸酐,省去了后处理脱除过量原料和溶剂的步骤,简化了操作流程,降低了能耗。另外,选择水合肼代替甲基肼,先与EMADFAA环合,制备3-二氟甲基-1H-吡唑-4-羧酸乙酯(DFMP),再用DMF-DMA作为N-甲基化试剂,与DFMP反应生成3-二氟甲基-1-甲基-1H-吡唑-4-羧酸乙酯(DFMMP),可有效降低异构体杂质的生成比例。最后DFMMP再经水解、酸化生成目标化合物DFPA,反应路线见图3。

图3 改进的3-二氟甲基-1-甲基-1H-吡唑-4-羧酸合成路线
本工艺路线的第1步DMF-DMA与活泼亚甲基的反应、第2步烯胺化合物与水合肼环合生成吡唑化合物的反应,收率较高,且有较多类似方法报道,故不做更多工艺研究。第3步吡唑环的N-甲基化反应,会产生甲基化异构体i-DFMMP,本文对减少异构体生成和影响反应收率的工艺条件和反应参数如甲基化试剂、反应溶剂的选择,物料配比和反应温度等进行了优化。
结论:在改进的合成路线中,采用DMF-DMA和甲苯替代了原甲酸三乙酯和乙酸酐,与原甲酸三乙酯进行乙氧亚甲基化反应相比,DMF-DMA用量少,反应时间短,并且减少了能耗,降低了生产成本。环合反应中,先用水合肼与烯胺化合物环合,再采用DMF-DMA引入甲基分步反应,避免了甲基肼及剧毒试剂硫酸二甲酯,反应条件温和,反应时间短,同时增加了反应选择性,有效控制了异构体的生成,不需纯化,经简单洗涤后直接得到高质量目标化合物。整个反应过程使用单一溶剂甲苯,前2步中间体后处理,只经简单的水洗、分液操作,不需脱溶、结晶等纯化步骤,直接进行下步反应;简化了操作流程,减少了不必要的分离过程。改进的方法反应条件温和,操作简便,产品质量优,总收率高达80%以上,更适合工业化生产。
作者:刘倩; 孙群芳; 于志广; 吴国军