多效唑,是英国ICI公司在二十世纪七十年代末推出的一种低毒、广谱、高效的植物生长延缓剂,属于含氮杂环化合物中的三唑类化合物。1984年,我国引进并由江苏农药研究所和江苏建湖农药厂研制成功,得到了大规模的推广和应用。可以与大多数农药复配,但是不能和碱性农药复配。
多效唑(Paclobutrazol),还称PP33、氯丁唑;
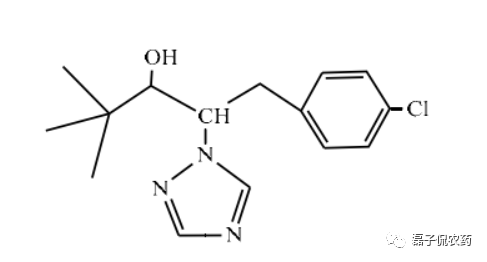
化学名称:(2RS,3RS)-1-(4-氯苯基)-4,4-二甲基-2-(1H-1,2,4-三唑-1-基)戊-3-醇;
英文名称:Paclobutrazol;
英文化学名称:(2RS,3RS)-1-(4-chlorophenyl)-4,4-dimethyl-2-(1H-1,2,4-triazol-1-yl) pentan-3-ol;
分子式:C15H20ClN3O;
分子量:293.79g/mol;
CAS号:76738-62-0;
化学结构为:

多效唑原药为米白色固体,纯品是无色晶体。
熔点:165~166°C;
沸点:460.9°C(at 760mm Hg);
闪点:232.6°C;密度:1.19g/cm3;
蒸汽压:0.001MPa(20°C);
溶解性:在20°C下溶解度:水中26mg/L,丙酮中110g/L,环已酮180g/L,二氯甲烷中100g/L,甲醇中150g/L,丙醇中50g/L,二甲苯中60g/L,己烷10g/L,储藏温度:0~6ºC下密封保存。
多效唑可以与一般的农药混合使用,但不能和碱性农药一起使用,常用的剂型为15%的可湿性粉剂。
原药对大鼠急性经口LD50为 2000mg/kg(雄) 、1300mg/kg(雌),小鼠急性经口LD50为490mg/kg(雄)、1200mg/kg(雌),兔急性经口LD50为 840mg/kg(雄)、940mg/kg(雌)。
大鼠和兔急性经皮LD50>1000mg/kg。
大鼠急性吸入LC50为 4.79mg/L(雄)(4h)、3.13mg/L(雌)(4h)。对大鼠的皮肤和眼睛有一定的刺激性。大鼠两年饲喂无作用剂量为250mg/kg,狗一年饲喂无作用剂量为75mg/kg。无诱变性。
虹鳟鱼LC50为27.8mg/L(96h),鲤鱼LC50为23.5mg/L(48h),水蚤LC50>7900mg/L。对蜜蜂低毒LD50>0.002mg/只。故多效唑为低毒型制剂。
多效唑是一种赤霉素的拮抗剂,能有效抑制植物的生长,对草本、木本的单子叶或双子叶植物都有抑制或延缓生长的作用。 主要作用是赤霉素的合成抑制以及降低吲哚乙酸的含量。延缓植物细胞分裂与伸长$使植物节间缩短。使作物茎秆粗壮,叶片增厚,叶色浓绿,侧枝增多,根系发达,通常不影响开花。因此有利于抑制植物营养生长。多效唑还能增加植物细胞膜的稳定性,提高植物的抗逆性。
多效唑是植物生长抑制剂,能使木本和禾本植物的生长延缓或矮化,增加其抗倒伏能力;防止果树等园艺作物的徒长,促进发芽,减少修剪,改善透光性。另外,它还具有杀菌作用,对稻疫病、锈粉病、苹果白粉病等有明显的活性。
表1 多效唑目前在我国原药登记情况

单剂登记73个,主要登记为15%WP和25%SC,复配登记共8个,主流是和甲哌鎓的复配。
表2 多效唑目前在我国制剂登记情况

以一氯频那酮和三氮唑钠为原料,聚乙二醇600为相转移催化剂,在乙酸乙酯中发生缩合反应生成唑酮,再滴加溶剂化的对氯氯苄,以苄基三乙基氯化铵(TEBA)为催化剂,在氢氧化钠水溶液中缩合生成氯唑酮,氯唑酮经还原(硼氢化钾、保险粉、二氧化硫脲、镁-氯化铵和催化加氢)得目标产物多效唑。

以2019年为例,我国全年共出口多效唑2922万美元,主要集中的东南亚和部分欧洲国家。越南是多效唑第一大进口国,2019年共计进口1004.6万美元,占到整个出口量的一半,其次是泰国,进口量为571.7万美金,第三是荷兰,292.9万美金,其次是印度(218.9万美金),柬埔寨(173万美金),巴西(113万美金),西班牙(74万美金),美国(71万美金),澳大利亚(59万美金),印度尼西亚(57万美金)。
主要出口的剂型为15%多效唑可湿性粉剂,25%多效唑悬浮剂。